文章快速检索     高级检索
  华东师范大学学报(自然科学版)  2017 Issue (3): 29-38  DOI: 10.3969/j.issn.1000-5641.2017.03.003
0

引用本文  

耿延静, 周圣武. 混合分数跳-扩散模型下的亚式期权定价[J]. 华东师范大学学报(自然科学版), 2017, (3): 29-38. DOI: 10.3969/j.issn.1000-5641.2017.03.003.
GENG Yan-jing, ZHOU Sheng-wu. Pricing Asian option under mixed jump-fraction process[J]. Journal of East China Normal University (Natural Science), 2017, (3): 29-38. DOI: 10.3969/j.issn.1000-5641.2017.03.003.

基金项目

中央高校基本科研业务费专项资金(2013XK03)

第一作者

耿延静, 女, 硕士研究生, 研究方向为金融数学.E-mail:gengyanjing_ah@qq.com

通信作者

周圣武, 男, 教授, 研究方向为金融数学.E-mail:zswcumt@163.com

文章历史

收稿日期:2016-06-23
混合分数跳-扩散模型下的亚式期权定价
耿延静, 周圣武     
中国矿业大学 数学系, 江苏 徐州 221008
摘要:给出了标的资产服从混合分数跳-扩散过程的几何平均亚式期权定价的解析解.运用广义Itô引理和自融资交易策略得到混合分数布朗运动下带跳的几何平均亚式期权定价的偏微分方程模型.结合边值条件,通过求解该偏微分方程得到亚式期权定价的解析解.通过数值试验,讨论各定价参数对期权价值的影响.本文推广了一些已有的结论,所得结果更贴近实际金融市场.
关键词混合分数跳-扩散过程    几何平均亚式期权    偏微分方程    
Pricing Asian option under mixed jump-fraction process
GENG Yan-jing, ZHOU Sheng-wu    
Department of Mathematics, China University of Mining and Technology, Xuzhou Jiangsu 221008, China
Abstract: This paper mainly studied the geometric average Asian option pricing on the condition that the underlying asset followed mixed jump-fraction process. The general Itô's lemma and the self-financing dynamic strategy were obtained by using the partial differential equation of such option pricing in the mixed fractional environment with jump. With the combination of boundary condition, an analytic formula for the geometric average Asian option was derived by solving the partial differential equation. The numerical experiments were showed to discuss the influence of different parameters on the option value. The results were the generalization of some existing results which was closer to the real financial market.
Key words: mixed jump-fraction process    geometric average Asian option    partial differential equation    
0 引言

亚式期权是一种强路径依赖型期权, 在期权到期日的收益依赖于在整个期权有效期内标的资产所经历的价格平均值, 因此亚式期权广受欢迎. Kemna和Vorst[1]通过波动率的变化求出了几何平均亚式期权定价的解析公式; Wong和Cheung[2]研究了随机波动率模型下的亚式期权定价模型; Ching-Sung Chou[3]推出了跳-扩散过程下的亚式期权定价模型.

经典的期权定价模型都假设金融资产价格(如股价)服从几何布朗运动, 但大量的实证研究结果表明, 金融资产价格并不服从几何布朗运动, 而是呈现出一种"尖峰厚尾"的分布, 且存在自相似性和长期相关性; 分数布朗运动正好具备这些性质, 能够更好地刻画金融资产价格的演化过程.但是分数布朗运动既不是Markov过程, 又不是半鞅, 所以不能使用通常的Itô积分来计算, 这给分数布朗运动下的期权定价研究带来了一定的困难.于是Cheridito[4-5]建议使用混合分数布朗运动作为噪声来驱动一个金融资产的价格, 这种噪声有着与半鞅类似的性质. Kuznetsov[6]、Zähle[7]和Mishura[8]建立了混合分数布朗运动下的Black-Scholes定价模型.王晓天[9-10]研究了分数布朗运动下带交易费用的Black-Scholes模型的欧式期权定价以及分数布朗运动下带交易费用的有波动率微笑的欧式期权定价问题.大部分对奇异期权的研究都假设标的资产满足连续扩散过程, 然而在实际金融市场中股票价格可能会出现"跳跃", 不少学者考虑用Poisson过程和布朗运动驱动的随机微分方程来描述股票价格变化并且给出了一些期权价格的解析解. Farshid Mehrdoust等[11]给出了算术平均亚式期权在带跳的双因素随机波动率模型下的数值解; Nisha Rambeerich[12]给出了当标的资产服从跳-扩散过程的欧式期权和美式期权的数值解.近年来, 不少学者在对期权进行定价时将以上两种情况同时考虑进去.肖伟林[13]运用等价鞅测度方法求解出在分数跳-扩散过程下欧式货币期权的解析解; 彭斌[14]利用分数跳-扩散过程的Itô公式给出了几何平均亚式期权定价公式并使用控制变量的方法对算术平均亚式期权进行蒙特卡罗模拟.丰月姣[15]和孙玉东[16]等利用分数跳-扩散过程的Itô公式研究了带跳的混合分数布朗运动下的利差期权定价问题. FoadShokrollahi[17]运用保险精算法得到混合分数跳-扩散过程下的利差期权定价公式.

本文假定股票价格遵循混合分数跳-扩散过程, 利用混合分数跳-扩散过程随机分析理论, 得到了混合分数-跳扩散环境下几何平均亚式期权价格所满足的Black-Scholes偏微分方程, 并通过求解该偏微分方程, 给出了几何平均亚式期权的定价公式.

1 定价模型

考虑一个股票价格既有连续又有间断的复杂的金融市场, 对于连续部分有"尖峰厚尾"和"长期相关性"的特性, 对于间断部分在价格过程中有异常波动.假设交易不需要支付交易费用, 那么价格过程可由以上两个部分叠加组成, 可写成如下形式

$\begin{align} {\rm d}S_t =(\mu _t -q_t )S_t {\rm d}t+\sigma S_t ({\rm d}M_t +{\rm d}N_t ),\end{align}$ (1)

其中常数$\mu _t $表示股票价格的预期收益率, 常数$q_t $表示股票支付的红利率, 常数$\sigma $表示股票价格的波动率, $M_t^H =B_t +B_t^H $是混合分数布朗运动, $B_t$是一个标准布朗运动, $B_t^H $是赫斯特指数$H\in (0, 1)$的分数布朗运动; $N_t =Q_t -\lambda t$是补偿泊松过程, $Q_t $是强度为$\lambda $的泊松过程, 且$Q_t $$B_t $$B_t^H $相互独立.

定理1 (混合分数跳-扩散过程Itô公式)假设$W_t =B_t +B_t^H +N_t $, $f(t, x)\in C^{1, 2}({\mathbb{R}}_{+}\times {\mathbb{R}}\to {\mathbb{R}})$, 且$f(t, W_t), \int_{0}^{t} {\frac{\partial f}{\partial \tau }(\tau, W_\tau){\rm d}\tau }, \int_{0}^{t} {\frac{\partial ^2f}{\partial x^2}(\tau, W_\tau){\rm d}\tau }, \int_{0}^{t} {\frac{\partial^2f}{\partial x^2}(\tau, W_\tau)\tau ^{2H-1}{\rm d}\tau } $均属于$L^2(P)$, 那么

$\begin{align} f(t,W_t )=&f(0,0)+\int_0^t {\frac{\partial f}{\partial x}(\tau ,W_\tau ){\rm d}W_\tau } \\[2mm] &+\int_0^t {\Big[{\dfrac{\partial f}{\partial \tau }(\tau ,W_\tau )+\dfrac{1}{2}(1+\lambda +2H\tau ^{2H-1})\dfrac{\partial ^2f}{\partial x^2}(\tau ,W_\tau )} \Big]} {\rm d}\tau . \end{align}$ (2)

证明 设$N_t $$t_i$时刻发生第$i$次跳跃.由于$W_t =B_t +B_t^H +Q_t -\lambda t$, 当$i=1$时, 即$W_t $$(0, t)$时刻只发生了一次跳, 且跳时刻为$t_1 $, 则在$(0, t_1)$$(t_1, t)$内没有发生跳跃, 那么由分数型Itô公式可得

$\begin{align*} f(t_1 ,W_{t_1^- } )=f(0,0)+\int_0^{t_1 } \\ {\Big[{\dfrac{\partial f}{\partial \tau }+\dfrac{1}{2}(1+2H\tau ^{2H-1})\dfrac{\partial ^2f}{\partial x^2}-\lambda \dfrac{\partial f}{\partial x}} \Big]{\rm d}\tau } +\int_0^{t_1 } {\dfrac{\partial f}{\partial x}{\rm d}B_\tau } +\int_0^{t_1 } {\dfrac{\partial f}{\partial x}{\rm d}B_\tau ^H } ,\\[2mm] f(t,W_t)=f(t_1 ,W_{t_{1} } )+\int_{t_1 }^t \\ {\Big[{\dfrac{\partial f}{\partial \tau }+\dfrac{1}{2}(1+2H\tau ^{2H-1})\dfrac{\partial ^2f}{\partial x^2}-\lambda \dfrac{\partial f}{\partial x}} \Big]{\rm d}\tau } +\int_{t_1 }^t {\dfrac{\partial f}{\partial x}{\rm d}B_\tau } +\int_{t_1 }^t {\dfrac{\partial f}{\partial x}{\rm d}B_\tau ^H } . \end{align*}$

$f(t, W_t)$$t_1 $时刻的变化量为$f(t_{1}, W_{t_{1} })-f(t_1, W_{t_1^-})$, 故

$\begin{align*} f(t,W_t )=&f(0,0)+\int_0^t {\Big[{\dfrac{\partial f}{\partial \tau }+\dfrac{1}{2}(1+2H\tau ^{2H-1})\dfrac{\partial ^2f}{\partial x^2}-\lambda \dfrac{\partial f}{\partial x}} \Big]{\rm d}\tau } \\[2mm] &+\int_0^t {\dfrac{\partial f}{\partial x}{\rm d}B_\tau } +\int_0^t {\dfrac{\partial f}{\partial x}{\rm d}B_\tau ^H } +f(t_{1} ,W_{t_{1} } )-f(t_{1} ,W_{t_1^- } ). \end{align*}$

当跳跃次数$i$在区间$(0, t)$服从泊松过程时, 则有

$\begin{align*} f(t,W_t )=&f(0,0)+\int_0^t {\Big[{\dfrac{\partial f}{\partial \tau }+\dfrac{1}{2}(1+2H\tau ^{2H-1})\dfrac{\partial ^2f}{\partial x^2}-\lambda \dfrac{\partial f}{\partial x}} \Big]{\rm d}\tau } \\[2mm] &+\int_0^t {\dfrac{\partial f}{\partial x}{\rm d}B_\tau } +\int_0^t {\dfrac{\partial f}{\partial x}{\rm d}B_\tau ^H } +\sum\limits_{\tau \le t} {f(\tau ,W_\tau )-f(\tau ,W_{\tau ^-} )} . \end{align*}$

$g(\phi)\in C^2({\mathbb{R}}\to {\mathbb{R}})$, 又$({\rm d}Q_t, {\rm d}Q_t)=\lambda {\rm d}t$, 对$g(Q_t)$应用广义Itô积分[14], 有

$\begin{align*} \sum\limits_{\tau \le t} {\Big[{g(Q_\tau )-g(Q_{\tau ^-} )} \Big]} =\int_0^t {{g}'(Q_\tau ){\rm d}Q_\tau } +\dfrac{\lambda }{2}\int_0^t {{g}"(Q_\tau ){\rm d}\tau } . \end{align*}$

$W_t =B_t +B_t^H +Q_t -\lambda t$, 则

$\begin{align*} \sum\limits_{\tau \le t} {\Big[{f(\tau ,W_\tau )-f(\tau ,W_{\tau ^-} )} \Big]} =\int_0^t {\dfrac{\partial f}{\partial x}{\rm d}Q_\tau } +\dfrac{\lambda }{2}\int_0^t {\dfrac{\partial ^2f}{\partial x^2}{\rm d}\tau }. \end{align*}$

那么

$\begin{align*} f(t,W_t )=&f(0,0)+\int_0^t {\Big[{\dfrac{\partial f}{\partial \tau }+\dfrac{1}{2}(1+2H\tau ^{2H-1})\dfrac{\partial ^2f}{\partial x^2}-\lambda \dfrac{\partial f}{\partial x}} \Big]{\rm d}\tau } \\[2mm] &+\int_0^t {\dfrac{\partial f}{\partial x}{\rm d}B_\tau } +\int_0^t {\dfrac{\partial f}{\partial x}{\rm d}B_\tau ^H } +\int_0^t {\dfrac{\partial f}{\partial x}{\rm d}Q_\tau +\dfrac{\lambda }{2}} \int_0^t {\dfrac{\partial ^2f}{\partial x^2}{\rm d}\tau } \\[2mm] =&f(0,0)+\int_0^t {\Big[{\dfrac{\partial f}{\partial \tau }+\dfrac{1}{2}(1+\lambda +2H\tau ^{2H-1})\dfrac{\partial ^2f}{\partial x^2}-\lambda \dfrac{\partial f}{\partial x}} \Big]{\rm d}\tau } +\\ \int_0^t {\dfrac{\partial f}{\partial x}{\rm d}W_\tau } _{.} \end{align*}$

定理2 随机微分方程(1) 的解是

$\begin{align} S_t =S_0 \exp \Big\{ {\int_0^t {(\mu _\tau -q_\tau ){\rm d}\tau } -\dfrac{\sigma ^2}{2}(t^{2H}+\lambda t+t)+\sigma W_t } \Big\}. \end{align}$ (3)

证明 令$f(t, W_t)=S_0 \exp \big\{ {\int_0^t {(\mu _\tau -q_\tau){\rm d}\tau } -\frac{\sigma ^2}{2}(t^{2H}+\lambda t+t)+\sigma W_t } \big\}$, 由定理1及定理2即可得证.

定理3 假设标的资产价格$S_t $满足混合分数跳-扩散过程(1), 则执行价格为$K$、到期日为$T$的几何平均亚式看涨期权在$t(0\le t\le T)$时刻的价值$V_c (t, J_t, S_t)$满足如下数学模型:

$\begin{align} \dfrac{\partial V}{\partial t}+(r_t -q_t )S_t \dfrac{\partial V}{\partial S_t }+\dfrac{{1}}{2}\widehat {\sigma }^{2}S_t ^2\dfrac{\partial ^2V}{\partial S_t ^2}+\dfrac{J_t (\ln S_t -\ln J_t )}{t}\cdot\dfrac{\partial V}{\partial J_t }=r_t V_t,\end{align}$ (4)

其中$0\le t\le T$, $0<S_t<+\infty$, $0<J_t<+\infty, \widehat {\sigma }^{2}=\sigma ^2(1+2Ht^{2H-1}+\lambda)$, 边值条件为

$\begin{align*} V_c (T,J_T ,S_T )=(J_T -K)^+. \end{align*}$

证明 因为亚式期权是路径依赖型期权, 几何平均亚式看涨期权在$t$时刻的价值$V=V_c (t, J_t, S_t)$不仅依赖于时间和标的资产的价格还依赖于路径$J_t $, 其中$J_t ={\rm e}^{\frac{1}{t}\int_0^t {\ln S_\tau {\rm d}\tau } }$是标的资产价格在$[0, t]$上的几何平均值, 则

$\begin{align*} {\rm d}J_t =J_t \Big( {-\dfrac{1}{t^2}\int_0^t {\ln S_\tau {\rm d}\tau } +\dfrac{1}{t}\ln S_t } \Big)=J_t \dfrac{\ln S_t -\ln J_t }{t}. \end{align*}$

假设在金融市场中有一种债券和一种股票, 债券和股票的价格分别满足下列微分方程:

$\begin{align*} &{\rm d}P_t =r_t P_t {\rm d}t,\\[2mm] &{\rm d}S_t =(\mu _t -q_t )S_t {\rm d}t+\sigma S_t ({\rm d}B_t +{\rm d}B_t^H +{\rm d}N_t ),\end{align*}$

对自融资投资策略$\theta =(\theta _t^0, \theta _t^1)$, 财富过程$V_t =\theta _{t}^0 P_t +\theta _t^1 S_t $满足

$\begin{align*} {\rm d}V_t =\theta _{t}^0 {\rm d}P_t +\theta _t^1 {\rm d}S_t +\theta _t^1 q_t S_t {\rm d}t,\end{align*}$

由自融资交易策略, 有

$\begin{align*} {\rm d}V_t &=\theta _{t }^0 {\rm d}P_t +\theta _t^1 {\rm d}S_t +\theta _t^1 q_t S_t {\rm d}t \\[2mm] &=(V_t -\theta _{t }^1 S_t )r_t {\rm d}t+\theta _t^1 (\mu _t -q_t )S_t {\rm d}t+\theta _t^1 \sigma S_t {\rm d}W_t +\theta _t^1 q_t S_t {\rm d}t \\[2mm] &=(V_t -\theta _{t }^1 S_t )r_t {\rm d}t+\theta _t^1 \mu _t S_t {\rm d}t+\theta _t^1 \sigma S_t {\rm d}W_t . \end{align*}$

由定理1和定理2, 有

$\begin{align*} {\rm d}V_t =&\Big[{\dfrac{\partial V}{\partial t}+(\mu _t -q_t )S_t \dfrac{\partial V}{\partial S_t }+\dfrac{\ln S_t -\ln J_t }{t}J_t \dfrac{\partial V}{\partial J_t }} \Big]{\rm d}t \\[2mm] &+\dfrac{1}{2}\sigma ^2S_t ^2(1+2Ht^{2H-1}+\lambda )\dfrac{\partial ^2V}{\partial S_t ^2}{\rm d}t+\sigma S_t \dfrac{\partial V}{\partial S_t }{\rm d}W_t. \end{align*}$

由于期权的价值与构造的投资组合的价值相等, 故

$\begin{align*} \theta_{t}^1 =\dfrac{\partial V}{\partial S_t },\end{align*}$

那么

$\begin{array}{l} \;\;{\mu _t}{S_t}\frac{{\partial V}}{{\partial {S_t}}}{\rm{d}}t + {r_t}{V_t}{\rm{d}}t - {r_t}{S_t}\frac{{\partial V}}{{\partial {S_t}}}{\rm{d}}t + \sigma {S_t}\frac{{\partial V}}{{\partial {S_t}}}{\rm{d}}{W_t}\\ = \frac{{\partial V}}{{\partial t}}{\rm{d}}t + \frac{{\partial V}}{{\partial {S_t}}}[({\mu _t} - {q_t}){S_t}{\rm{d}}t + \sigma {S_t}{\rm{d}}{W_t}]\\ \quad + \frac{{\partial V}}{{\partial {J_t}}}{\rm{d}}{J_t} + \frac{1}{2} \cdot \frac{{{\partial ^2}V}}{{\partial S_t^2}}[{\sigma ^2}S_t^2({\rm{d}}t + 2H{t^{2H - 1}}{\rm{d}}t + \lambda {\rm{d}}t)], \end{array}$

$r_t V_t =\frac{\partial V}{\partial t}+(r_t -q_t)S_t \frac{\partial V}{\partial S_t }+\frac{\ln S_t -\ln J_t }{t}J_t \frac{\partial V}{\partial J_t }+\frac{1}{2}\sigma ^2S_t ^2(1+2Ht^{2H-1}+\lambda)\frac{\partial ^2V}{\partial S_t ^2}.$再令$\widehat {\sigma }^{2}=\sigma ^2(1+2Ht^{2H-1}+\lambda)$.则上式变为

$\begin{align*} r_t V_t =\dfrac{\partial V}{\partial t}+(r_t -q_t )S_t \dfrac{\partial V}{\partial S_t }+\dfrac{\ln S_t -\ln J_t }{t}J_t \dfrac{\partial V}{\partial J_t }+\dfrac{1}{2}\widehat {\sigma }^2S_t ^2\dfrac{\partial ^2V}{\partial S_t ^2}. \end{align*}$
2 模型求解

定理4 假设标的资产价格$S_t $满足混合分数跳-扩散过程(1), 则执行价格为$K$、到期日为$T$的几何平均亚式看涨期权在$t(0\le t\le T)$时刻的价值$V_c(t, J_t, S_t)$

$\begin{align} V_c (t,J_t ,S_t )=&(J_t^t S_t^{T-t} )^{\frac{1}{T}}\exp \Big\{r^\ast (T-t)-\int_t^T {r_\theta {\rm d}\theta } +\dfrac{(\sigma _H^\ast )^2}{2}(T^{2H}-t^{2H}) \\[2mm] &+\dfrac{(\sigma _\lambda ^\ast )^2}{2}(T-t)\Big\}N(d_1 )-K{\rm e}^{-\int_t^T {r_\theta {\rm d}\theta } }N(d_2 ),\end{align}$ (5)

其中

$\begin{align*} r^\ast =\dfrac{\int_t^T {(r_\theta -q_\theta )\dfrac{T-\theta }{T}{\rm d}\theta } }{T-t}-\dfrac{(\lambda \sigma ^2+\sigma ^2)(T-t)}{4T}-\dfrac{\sigma ^2(T^{2H}-t^{2H})}{2(T-t)}+\\ \dfrac{H\sigma ^2(T^{2H+1}-t^{2H+1})}{(2H+1)(T-t)},\\[2mm] \sigma _H^\ast =\Big[{1-\dfrac{4H(T^{2H+1}-t^{2H+1})}{(2H+1)(T^{2H}-t^{2H})}+\dfrac{H(T^{2H+2}-t^{2H+2})}{T^2(H+1)(T^{2H}-t^{2H})}} \Big]^{\frac{1}{2}}\sigma ,\\ \sigma _\lambda ^\ast =\dfrac{T-t}{\sqrt 3 T}(\sqrt {\lambda +{1}} \sigma ),\\[2mm] d_1 =\dfrac{(\sigma _\lambda ^\ast )^2(T-t)+(\sigma _H^\ast )^2(T^{2H}-t^{2H})+\dfrac{1}{T}\ln \dfrac{J_t^t S_t^{T-t} }{K^T}+r^\ast (T-t)}{\sqrt {(\sigma _\lambda ^\ast )^2(T-t)+(\sigma _H^\ast )^2(T^{2H}-t^{2H})} },\\[2mm] d_{2} =d_1 -\sqrt {(\sigma _\lambda ^\ast )^2(T-t)+(\sigma _H^\ast )^2(T^{2H}-t^{2H})} ,\\ N(x)=\dfrac{1}{\sqrt {2\pi } }\int_{-\infty }^x {{\rm e}^{-\frac{t^2}{2}}{\rm d}t} . \end{align*}$

证明 由定理3知, 几何平均亚式看涨期权在$t(0\le t\le T)$时刻的价值$V_c (t, J_t, S_t)$满足模型(4).令

$\begin{align*} \xi _t =\dfrac{1}{T}\Big[{t\ln J_t +(T-t)\ln S_t } \Big],V_c (t,J_t ,S_t )=U(t,\xi _t ),\end{align*}$

$\begin{align*} &\dfrac{\partial V}{\partial t}=\dfrac{\partial U}{\partial t}+\dfrac{\partial U}{\partial \xi _t }\cdot\dfrac{\ln J_t -\ln S_t }{T},\\[2mm] &\dfrac{\partial V}{\partial S_t }=\dfrac{\partial U}{\partial \xi _t }\cdot\dfrac{T-t}{TS_t },\dfrac{\partial V}{\partial J_t }=\dfrac{\partial U}{\partial \xi _t }\cdot\dfrac{t}{TJ_t },\\[2mm] &\dfrac{\partial ^2V}{\partial S_t ^2}=\dfrac{\partial }{\partial S_t }\Big( {\dfrac{\partial U}{\partial \xi _t }\cdot\dfrac{T-t}{TS_t }} \Big)=\Big( {\dfrac{T-t}{TS_t }} \Big)^2\cdot\dfrac{\partial ^2U}{\partial \xi _t ^2}-\dfrac{T-t}{TS_t ^2}\cdot\dfrac{\partial U}{\partial \xi _t },\end{align*}$

那么模型(4) 转化为

$\begin{align} \left\{\!\! {\begin{array}{l} \dfrac{\partial U}{\partial t}+\Big( {r_t -q_t -\dfrac{{1}}{2}\widehat {\sigma }^{2}} \Big)\dfrac{T-t}{T}\cdot\dfrac{\partial U}{\partial \xi _t }+\dfrac{{1}}{2}\widehat {\sigma }^{2}\Big( {\dfrac{T-t}{T}} \Big)^2\cdot\dfrac{\partial ^2U}{\partial \xi _t ^2}=r_t U_t,\\[4mm] U(T,\xi _T )=({\rm e}^{\xi _T }-K)^+. \end{array}} \right. \end{align}$ (6)

$\begin{align*} \tau =\gamma (t),\eta _\tau =\xi _t +\alpha (t),W(\tau ,\eta _\tau )=U(t,\xi _t ){\rm e}^{\beta (t)},\end{align*}$

其中$\alpha (t), \beta (t), \gamma (t)$为待定函数, 则

$\begin{align*} \dfrac{\partial U}{\partial t}&={\rm e}^{-\beta (t)}\Big[{\dfrac{\partial W}{\partial \tau }{\gamma }'(t)-{\beta }'(t)W+\dfrac{\partial W}{\partial \eta _\tau }{\alpha }'(t)} \Big],\\[2mm] \dfrac{\partial U}{\partial \xi _t }&={\rm e}^{-\beta (t)}\dfrac{\partial W}{\partial \eta _\tau },\dfrac{\partial ^2U}{\partial \xi _t ^2}=\dfrac{\partial }{\partial \xi _t }\Big( {{\rm e}^{-\beta (t)}\dfrac{\partial W}{\partial \eta _\tau }} \Big)={\rm e}^{-\beta (t)}\dfrac{\partial ^2W}{\partial \eta _\tau ^2},\end{align*}$

代入(6) 式, 整理后得

$\begin{align} {\gamma }'(t)&\dfrac{\partial W}{\partial \tau }+\Big[{{\alpha }'(t)+(r_t -q_t -\dfrac{{1}}{2}\widehat {\sigma }^{2})\dfrac{T-t}{T}} \Big]\dfrac{\partial W}{\partial \eta _\tau } \\[2mm] & +\dfrac{{1}}{2}\widehat {\sigma }^{2}\Big( {\dfrac{T-t}{T}} \Big)^2\dfrac{\partial ^2W}{\partial \eta _\tau ^2}-(r_t +{\beta }'(t))W=0. \end{align}$ (7)

再令

$\begin{align*} {\gamma }'(t)+\dfrac{{1}}{2}\widehat {\sigma }^{2}\Big( {\dfrac{T-t}{T}} \Big)^2=0,{\alpha }'(t)+\\ \Big( {r_t -q_t -\dfrac{{1}}{2}\widehat {\sigma }^{2}} \Big)\dfrac{T-t}{T}=0,r_t +{\beta }'(t)=0,\end{align*}$

结合终止条件$\alpha (T)=\beta (T)=\gamma (T)=0$, 解得

$\begin{align*} \beta (t)=\int_t^T {r_\theta {\rm d}\theta } ,\\[2mm] \alpha (t)=\int_t^T {(r_\theta -q_\theta ){\rm d}\theta } -\dfrac{\sigma ^2+\lambda \sigma ^2}{4T}(T-t)^2+\\ \dfrac{H\sigma ^2(T^{2H+1}-t^{2H+1})}{T(2H+1)}-\dfrac{\sigma ^2(T^{2H}-t^{2H})}{2},\\[2mm] \gamma (t)=\dfrac{\sigma ^2+\lambda \sigma ^2}{6}\cdot\dfrac{(T-t)^3}{T^2}+\\ \dfrac{H\sigma ^2}{2}\Big[{\dfrac{T^{2H}-t^{2H}}{H}+\dfrac{(T^{2H+2}-t^{2H+2})}{T^2(H+1)}-\dfrac{4(T^{2H+1}-t^{2H+1})}{T(2H+1)}} \Big],\end{align*}$

则(7) 式可化为

$\begin{align} \left\{ {\begin{array}{l} \dfrac{\partial W}{\partial \tau }=\dfrac{\partial ^2W}{\partial \eta _\tau ^2},\\[3mm] W(0,\eta _0 )=({\rm e}^{\eta _0 }-K)^+,\\ \end{array}} \right. \end{align}$ (8)

由热传导方程经典解理论可知, (8) 式的解为

$\begin{align*} W(\tau ,\eta _{_\tau} )&=\dfrac{1}{2\sqrt {{\pi }\tau } }\int_{\ln K}^{+\infty } {({\rm e}^y-K){\rm e}^{-\frac{(y-\eta _{_\tau} )^2}{4\tau }}{\rm d}y} \\[2mm] &=\dfrac{1}{2\sqrt {{\pi }\tau } }\int_{\ln K}^{+\infty } {{\rm e}^y{\rm e}^{-\frac{(y-\eta _{_\tau} )^{2}}{4\tau }}{\rm d}y} -\dfrac{K}{2\sqrt {{\pi }\tau } }\int_{\ln K}^{+\infty } {{\rm e}^{-\frac{(y-\eta _{_\tau} )^{2}}{4\tau }}{\rm d}y} \\[2mm] &=I_1 +I_2 . \end{align*}$

$\begin{align*} \dfrac{y-\eta _{_\tau} -2\tau }{\sqrt {2\tau } }=t,\end{align*}$

$\begin{align*} I_1 &=\dfrac{1}{2\sqrt {{\pi }\tau } }\int_{\ln K}^{+\infty } {{\rm e}^y{\rm e}^{-\frac{(y-\eta _{_\tau} )^{2}}{4\tau }}{\rm d}y} ={\rm e}^{\tau +\eta _{_\tau}}\dfrac{1}{\sqrt {2{\pi }} }\int_{\ln K}^{+\infty } {{\rm e}^{-\frac{(y-\eta _{_\tau} -2\tau )^2}{4\tau }}{\rm d}y} \\[2mm] &={\rm e}^{\tau +\eta _{_\tau} }\dfrac{1}{\sqrt {2{\pi }} }\int_{-\frac{\eta _{_\tau} +2\tau -\ln K}{\sqrt {2\tau } }}^{+\infty } {{\rm e}^{-\frac{t^2}{2}}{\rm d}t} ={\rm e}^{\tau +\eta _{_\tau } }N\Big( {\dfrac{\eta_{_\tau } +2\tau -\ln K}{\sqrt {2\tau } }} \Big). \end{align*}$

再令

$\begin{align*} \dfrac{y-\eta _{_\tau} }{\sqrt {2\tau } }=t,\end{align*}$

$\begin{align*} I_2 =-\dfrac{K}{2\sqrt {{\pi }\tau } }\int_{\ln K}^{+\infty } {{\rm e}^{-\frac{(y-\eta _{_\tau} )}{4\tau }}{\rm d}y} =\\ -\dfrac{K}{\sqrt {2{\pi }} }\int_{-\frac{\eta _{_\tau} -\ln K}{\sqrt {2\pi } }}^{+\infty } {{\rm e}^{-\frac{t^2}{2}}{\rm d}t} =-KN\Big( {\dfrac{\eta _{_\tau}-\ln K}{\sqrt {2{\pi }} }} \Big). \end{align*}$

故(8) 式的解为

$\begin{align} W(\tau ,\eta _{_\tau} )&={\rm e}^{\tau +\eta _{_\tau} }N\Big( {\dfrac{\eta _{_\tau} +2\tau -\ln K}{\sqrt {2\tau } }} \Big)-KN\Big( {\dfrac{\eta _{_\tau} -\ln K}{\sqrt {2\tau } }} \Big) \\ &={\rm e}^{\tau +\eta _{_\tau} }N(d_1 )-KN(d_2 ). \end{align}$ (9)

变量还原后有

$\begin{align*} d_1 =\dfrac{{2}\tau +\eta _\tau -\ln K}{\sqrt {{2}\tau } }=\\ \dfrac{(\sigma _\lambda ^\ast )^2(T-t)+(\sigma _H^\ast )^2(T^{2H}-t^{2H})+\dfrac{1}{T}\ln \dfrac{J_t^t S_t^{T-t} }{K^T}+r^\ast (T-t)}{\sqrt {(\sigma _\lambda ^\ast )^2(T-t)+(\sigma _H^\ast )^2(T^{2H}-t^{2H})} },\\ d_2 =\dfrac{\eta _\tau -\ln K}{\sqrt {{2}\tau } }=\dfrac{\dfrac{1}{T}\ln \dfrac{J_t^t S_t^{T-t} }{K^T}+r^\ast (T-t)}{\sqrt {(\sigma _\lambda ^\ast )^2(T-t)+(\sigma _H^\ast )^2(T^{2H}-t^{2H})} } \\[2mm] =d_1 -\sqrt {(\sigma _\lambda ^\ast )^2(T-t)+(\sigma _H^\ast )^2(T^{2H}-t^{2H})} . \end{align*}$

推论1 假设标的资产价格$S_t $满足混合分数跳-扩散过程(1), 则执行价格为$K$、到期日为$T$的几何平均亚式看跌期权在$t(0\le t\le T)$时刻的价值$V_p (t, J_t, S_t)$

$\begin{align} V_p (t,J_t ,S_t )=&-(J_t^t S_t^{T-t} )^{\frac{1}{T}}\exp \Big\{r^\ast (T-t)-\int_t^T {r_\theta {\rm d}\theta } +\dfrac{(\sigma _H^\ast )^2}{2}(T^{2H}-t^{2H}) \\ &+\dfrac{(\sigma _\lambda ^\ast )^2}{2}(T-t)\Big\}N(-d_1 )+K{\rm e}^{-\int_t^T {r_\theta {\rm d}\theta } }N(-d_2). \end{align}$ (10)

其他符号与定理4一致.

证明 由边值条件$V(T, J_T, S_T)=(K-J_T)^+$, 运用定理3中的方法求解方程(4) 得到看跌期权的价值$V_p (t, J_t, S_t)$.

3 数值实验

根据定理4中的定价公式进行数值实验, 讨论定价公式中的各个参数对期权价值的影响.考虑一只标的资产为股票的亚式期权, 其标的股票价格服从混合分数跳-扩散过程(1).假设股票的当前价格$S=80$元、期权的敲定价$K=80$元、股票价格的年波动率$\sigma =0.4$、无风险年利率$r=0.05$、红利率$q=0.01$, 即

$\begin{align*} S=80,t=0,T=1,r=0.05,q=0.01,\sigma =0.4,K=80. \end{align*}$

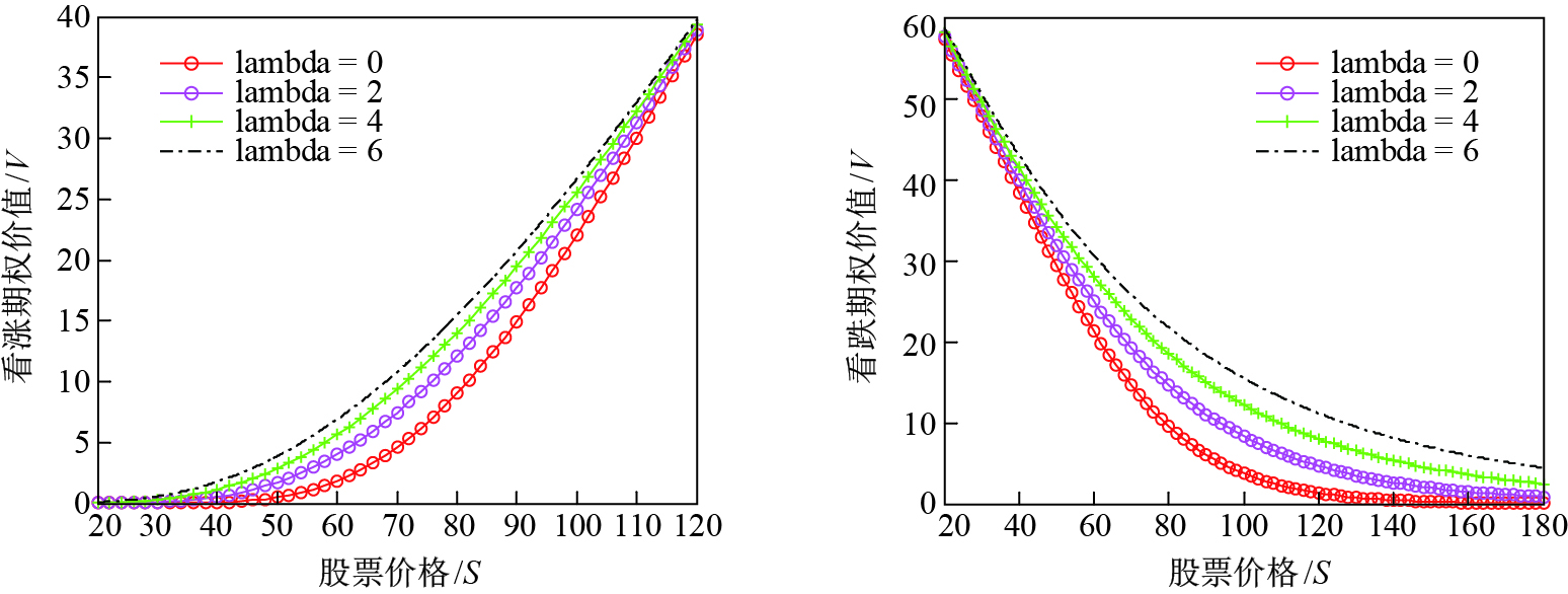
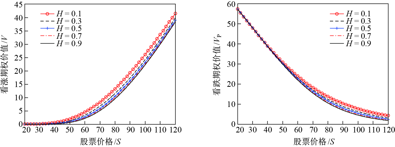
对定理给出的亚式期权在$t$时刻的价值, 考虑当其他参数不变时该期权的价值随其中某一参数变化的情况.对于亚式看跌期权, 参数假设与看涨期权一致.在不同赫斯特指数下和标的股票价格下的亚式看涨、看跌期权价值的关系如图 1, 在不同跳跃强度下和标的股票价格下的亚式看涨、看跌期权价值的关系如图 2.从图 1中可以看出赫斯特指数与亚式看涨、看跌期权的价值成反比, 且对亚式期权价值的影响幅度随着标的资产的减小而减小.从图 2中可以看出跳跃强度与亚式看涨、看跌期权的价值成正比且跳跃强度对亚式看涨期权价值的影响程度比对亚式看跌期权价值的影响程度小.

图 1 对应不同$H$值的亚式期权价值 Fig.1 Asian option pricing corresponding to different $H$
图 2 对应不同$\lambda $值的亚式期权价值 Fig.2 Asian option pricing corresponding to different $\lambda $

在参数假设取值不变的情况下, 图 3给出了到期期限和赫斯特指数同时变化时亚式看涨、看跌期权价值的走势情况, 图 4给出了到期期限和跳跃强度同时变化时亚式看涨、看跌期权价值的走势情况.由图 3图 4可知, 随着期权期限的增加, 期权的价值也在不断增加, 与实际情况相符.

图 3 赫斯特指数、到期时间和亚式期权价值的关系 Fig.3 The relation of Hurst exponent, expiry date and Asian option
图 4 跳跃强度、到期时间和亚式看涨期权价值的关系 Fig.4 The relation of jump intensity, expiry date and Asian option
4 结论

本文假设股票价格满足混合分数跳-扩散过程, 通过Itô引理和自融资交易策略推导出混合分数布朗运动下带跳的亚式期权的定价模型, 再运用变量替换法对定价模型进行求解, 得到几何平均亚式期权的解析解.通过数值实验可以看出赫斯特指数与跳跃强度对亚式期权价值有明显的影响.

参考文献
[1] KEMNA A G Z, VORST A C F. A pricing method for options based on average asset values[J]. Journal of Banking and Finance, 1990, 14(1): 113-129. DOI:10.1016/0378-4266(90)90039-5
[2] WONG H Y, CHEUNG H L. Geometric Asian options: Valuation and calibration with stochastic volatility[J]. Quantitative Finance, 2004, 4(3): 301-314. DOI:10.1088/1469-7688/4/3/006
[3] CHOU C S, LIN H J. Asian options with jumps[J]. Statistics & Probability, 2006, 6(14): 1983-1993.
[4] CHERIDITO P. Regularizing fractional Brownian motion with a view towards stock price modelling [D]. Zürich: Swiss Federal Institute of Technology, 2001.
[5] CHERIDITO P. Arbirage in fractional Brownian motion models[J]. Finance and Stochastics, 2003, 7(4): 533-553. DOI:10.1007/s007800300101
[6] KUZNETSOV Y A. The absence of arbitrage in a model with fractal Brownian motion[J]. Russian Mathematical Surveys, 1999, 54(4): 847-848. DOI:10.1070/RM1999v054n04ABEH000191
[7] ZÄHLE M. Long range dependence, no arbitrage and the Black–Scholes formula[J]. Stochastics and Dynamics, 2002, 2(2): 265-280. DOI:10.1142/S0219493702000406
[8] MISHURA Y S. Stochastic Calculus for Fractional Brownian Motion and Related Processes[M]. Berlin: Springer, 2008.
[9] WANG X T. Scaling and long-range dependence in option pricing Ⅰ: Pricing European option with transaction costs under the fractional Black–Scholes model[J]. Physica A, 2010, 389(3): 438-444. DOI:10.1016/j.physa.2009.09.041
[10] WANG X T. Scaling and long-range dependence in option pricing Ⅴ: Multiscaling hedging and implied volatility smiles under the fractional Black–Scholes model with transaction costs[J]. Physica A, 2011, 390(9): 1623-1634. DOI:10.1016/j.physa.2010.12.021
[11] MEHRDOUST F, SABER N. Pricing arithmetic Asian option under a two-factor stochastic volatility model with jumps[J]. Journal of Statistical Computation and Simulation, 2015, 85(18): 3811-3819. DOI:10.1080/00949655.2015.1046072
[12] RAMBEERICH N. A high order finite element scheme for pricing options under regime switching jump diffusion processes[J]. Journal of Computational and Applied Mathematics, 2016, 300(2): 83-96.
[13] XIAO W L. Pricing currency options in a fractional Brownian motion with jumps[J]. Economic Modelling, 2010, 27(5): 935-942. DOI:10.1016/j.econmod.2010.05.010
[14] PENG B. Pricing Asian power options under jump-fraction process[J]. Journal of Economics, Finance and Administrative Science, 2012, 17(33): 2-9. DOI:10.1016/S2077-1886(12)70002-1
[15] 丰月姣. 带跳混合分数布朗运动下利差期权定价[J]. 佳木斯大学学报, (自然科学版), 2013, 30(6): 922-925.
[16] 孙玉东. 带跳混合分数布朗运动下利差期权定价[J]. 系统科学与数学, 2013, 32(11): 1377-1385.
[17] SHOKROLLAHI F. Actuarial approach in a mixed fractional Brownian motion with jumps environment for pricing currency option[J]. Advances in Difference Equations, 2015, 257(1): 1-8.