文章快速检索     高级检索
  华东师范大学学报(自然科学版)  2017 Issue (2): 107-115  DOI: 10.3969/j.issn.1000-5641.2017.02.014
0

引用本文  

吴粒铰, 朱静敏, 胡玲玲, 等. 三苯基锡对热带爪蟾胚胎的早期发育毒性[J]. 华东师范大学学报(自然科学版), 2017, (2): 107-115. DOI: 10.3969/j.issn.1000-5641.2017.02.014.
WU Li-jiao, ZHU Jing-min, HU Ling-ling, et al. Developmental toxicity of triphenyltin to Xenopus tropicalis embryo[J]. Journal of East China Normal University (Natural Science), 2017, (2): 107-115. DOI: 10.3969/j.issn.1000-5641.2017.02.014.

基金项目

国家自然科学基金(21277049)

第一作者

吴粒铰, 女, 硕士研究生, 研究方向为环境毒理学.E-mail:somnus.smile@163.com

通信作者

施华宏, 男, 教授, 研究方向为环境科学.E-mail:hhshi@des.ecnu.edu.cn

文章历史

收稿日期:2016-04-21
三苯基锡对热带爪蟾胚胎的早期发育毒性
吴粒铰, 朱静敏, 胡玲玲, 施华宏     
华东师范大学 河口海岸学国家重点实验室, 上海 200062
摘要:有机锡的外暴露能引起脊椎动物胚胎的独特畸形,但通过母体传递引起的内暴露毒性还缺乏研究.本文通过显微注射的方式研究了三苯基锡(TPT)、过氧化物酶体增殖体激活受体γ(PPARγ)的激动剂罗格列酮(Rosi)和抑制剂T0070907(C12H8ClN3O3)对热带爪蟾胚胎的发育毒性.将3种化合物注入S1-S2期的胚胎后,胚胎的存活率显著下降,其中5 ng TPT,80 ng Rosi和10 ngT0070907,注射组存活率分别为46.9%、42.7%和54.2%.胚胎的体长也受到不同程度的影响5 ng TPT,80 ng Rosi和20 ng T0070907注射组与对照相比体长分别减少了27%、22%和57%.3种化合物还引起了多样的畸形效应,尤其是头部变小及眼睛畸形.说明,PPARγ在热带爪蟾早期胚胎的发育特别是头、眼发育中扮演非常重要的角色.TPT与相近剂量T0070907引起的畸形非常相似,说明TPT的致畸机制可能与PPARγ存在某种关系.另一方面,利用整胚原位杂交检测了注射TPT后S20及S25期胚胎的头、眼部标志基因的空间表达,结果表明bf1en2krox20pax6的表达信号均随TPT剂量增大而逐渐变弱且区域变小,定量PCR进一步验证了TPT能在神经胚及早期尾牙期之前影响胚胎头、眼标志基因的表达.研究结果表明TPT的内暴露对脊椎动物胚胎具有较强的致畸效应和神经毒性.
关键词三苯基锡 (TPT)     发育毒性     显微注射     热带爪蟾     胚胎    
Developmental toxicity of triphenyltin to Xenopus tropicalis embryo
WU Li-jiao, ZHU Jing-min, HU Ling-ling, SHI Hua-hong    
State Key Laboratory of Estuarine and Coastal Research, East China Normal University, Shanghai 200062, China
Abstract: Organotin compounds can lead to the unique malformations in vertebrate embryos after waterborne exposure, but the toxicity of organotin compounds to embryos through maternal transfer is still lack. In the present study, Xenopus tropicalis embryos were exposed to triphenyltin (TPT), the agonist (rosiglitazone, Rosi) and antagonist (T0070907) of peroxisome proliferator activated receptor gamma (PPARγ) through microinjection. Compared with the control, the survival rates and body length of embryos were significantly decreased in treatment groups. The survival rates were 46.9% (5 ng TPT), 42.7% (80 ng Rosi) and 54.2% (10 ng T0070907). The whole body lengths were reduced by 27% (5 ng TPT), 22% (80 ng Rosi) and 57% (20 ng T0070907). Three chemicals caused a variety of malformations including microcephaly, turbid lens of eyes and small eyes. These results indicated that PPARγ played an important role in embryonic development especially for eyes and brain development of Xenopus tropicalis. The phenotypes of malformation induced by TPT and T0070907 groups were highly identical, which suggested that the toxic mechanism of TPT might be related to PPARγ. After TPT treatment, brain and eye marker gene expression in embryos at stage20 and stage25 was detected using whole mount in situ hybridization. The results showed that en2, bf1, krox20 and pax6 expression regions were gradually decreased with the increase of the TPT doses. Quantitative PCR results further confirmed that TPT could affect the head and eye marker gene expression in neural and early tailbud stages. All the results indicated that organotin compounds showed high teratogenicity and neurotoxicity to vertebrate embryos.
Key words: triphenyltin    developmental toxicity    microinjection    Xenopus tropicalis    embryo    
0 引言

三苯基锡 (TPT) 属于典型的有机锡化合物, 自1960年以来被广泛用于农业杀菌剂, 也被添加在以三丁基锡 (TBT) 为主的海洋防污漆中[1]. TPT主要由农田通过径流进入海洋, 淡水中的TPT含量相对较高, 如在美国北卡罗莱纳州的Flat River检测到的TPT平均水平达到6.0 $\mu $g/L[2]. TPT能导致狗峨螺 (Nucella lapillus) 性畸变[3], 且对脊椎动物的胚胎具有潜在致畸性.囊胚期晚期的金头海鲷 (Sparus aurata) 胚胎暴露于TPTCl的24 h-LC$_{50}$为34.2 $\mu $g/L[4]. 7.5 $\mu $g/L TPT暴露5 d能显著增加5 hpf斑马鱼 (Danio Rerio) 胚胎的死亡率, 并导致尾巴弯曲、围心腔水肿及眼睛畸形等现象[5].我们前期研究发现囊胚期晚期的热带爪蟾 (Xenopus tropicalis) 胚胎暴露于TPT溶液能引起泄殖腔膨大及鳍变窄等多种畸形现象, 72 h-LC$_{50}$为5.25 $\mu $gSn/L, 72 h-EC$_{50}$为0.96 $\mu $gSn/L[6].但这种始于囊胚期的体外溶液暴露不能说明TPT能否在早期穿透胶膜和卵膜进入胚胎体内, 以及TPT能否在囊胚期之前对爪蟾胚胎有所影响这两个问题.

TPT极强的疏水性使其难以被微生物降解, 在生态系统中的半衰期由几周至几年不等[7].但其与一些氨基酸、多肽及蛋白质有很高的亲和力, 在生物体中具有很高的生物富集系数.母体中富集的TPT还能转移进下一代的胚胎中.如在野生中华鲟胚胎中检测到7.8 53.5 ng TPT/g (湿重) 的含量, 且胚胎的TPT含量高低与其母体年龄呈正相关关系[8].由此, TPT可以直接从母体转入胚胎, 从胚胎的发育之初就开始发挥影响.显微注射作为评价化合物毒性的一个强有力工具, 也能很好地模拟“母体-卵”这样一个毒素转移过程[9-10].

过氧化物酶体增殖体激活受体$\gamma$ (PPAR$\gamma $, peroxisome proliferators-activated receptor $\gamma $) 是具有配体依赖性的核受体.有研究表明TBT在体外能与脊椎动物的PPAR$\gamma $结合, 并可能由此诱导非洲爪蟾 (Xenopus laveis) 成体脂肪细胞的分化进而引起肥胖及脂肪组织的异位表达[11]. TPT与TBT的分子结构十分类似, 经过TPT暴露后的树蛙 (Lithobates sylvaticus) 也出现了PPAR$\gamma $转录水平的上调[12], 因此推测在热带爪蟾中TPT的致畸机制可能与PPAR$\gamma $有关.

本文通过显微注射探究了TPT、罗格列酮 (Rosi, Rosiglitazone, PPAR$\gamma $激动剂) 及T0070907(C$_{12}$H$_{8}$ClN$_{3}$O$_{3}$, PPAR$\gamma$抑制剂) 对热带爪蟾胚胎的早期发育毒性, 通过观测胚胎的存活生长情况、畸形效应及程度, 比较了3种化合物的致畸能力, 并以此推测了TPT的可能致畸机制.另一方面, 通过整胚原位杂交进一步揭示了TPT对热带爪蟾胚胎发育影响的靶向性及早期性.这为全面评价TPT的发育毒性及揭示其毒理机制提供了基础.

1 材料与方法 1.1 主要仪器及试剂

显微注射系统 (包括拉针仪PC-10, 显微注射仪IM-9B, 注射器SYR-15, 显微操作仪M-152, 玻璃管G-1) 购自Narishige (日本).分子杂交仪 (HL-2000 HybriLinker) 购自UVP (美国). Zeiss V8体视显微镜购自Carl Zeiss MicroImaging GmbH (德国). 3-30K高速台式冷冻离心机购自Sigma (美国), MyCycler普通PCR仪购自Bio-rad (美国), 7500荧光定量PCR仪购自ABI (美国).氯化三苯基锡 (Triphenyltin chloride; 纯度为95%; CAS: 639-58-7), 罗格列酮 (Rosiglitazone, 纯度$\ge $98%, CAS: 122320-73-4), T0070907 (纯度$\ge $99%; CAS: 313516-66-4), 间氨基苯甲酸乙酯甲磺酸盐 (MS-222), 二甲基亚砜 (DMSO), RNA Later均购自Sigma-Aldrich (美国).聚蔗糖400 (Ficoll 400), L-半胱氨酸 (L-Cystein) 购自Pharmacia & Upjohn (美国).人绒毛膜促性腺激素 (hCG) 购自宁波第二激素厂 (中国). RNeasy® Mini Kit购自QIAGEN (德国). PrimeScript$^{\rm TM}$ RT reagent Kit及SYBR Premix Ex Taq购自Takara (中国).其余试剂均为国产分析纯.

1.2 胚胎的获取

挑选3对以上发育状态良好的性成熟热带爪蟾, 分两步注射hCG诱导抱对产卵.第一步每只成蛙注射20个单位hCG. 24 48 h后进行第二次注射, 每只成蛙注射100个单位hCG.之后将雌雄蛙两两配对置于水箱.产卵后, 利用现配的2% L-Cystein溶液 (pH=7.8) 收集胚胎并对其去膜, 至胚胎与胚胎之间的间隙较小时, 用0.1$\times$MMR溶液 (500 mL 10$\times$MMR贮藏液配方:氯化钠29.28 g, 氯化钾0.746 g, 硫酸镁1.232 g, 无水氯化钙1.12 g, 4-羟乙基哌嗪乙磺酸2.383 g, pH=7.4, 纯水定容至500 mL) 清洗胚胎.最后将胚胎置于铺有1%琼脂糖凝胶的培养皿上.在解剖镜下挑选一细胞期 (S1) 至两细胞期 (S2) 的胚胎用于显微注射.

1.3 胚胎的显微注射实验及胚胎收集

TPT、Rosi及T0070907均利用DMSO助溶, 之后用无菌水稀释至注射所需浓度.注射液中DMSO的最高剂量不超过10%.将挑选出的S1-S2期的胚胎置于盛满6% Ficoll溶液 (50 mL配方: 3 g聚蔗糖粉末溶于0.1$\times$MMR) 的培养皿中.在解剖镜下进行注射, 每只胚胎注射2 4 nL.本实验中, 对照组胚胎均注射浓度为10%的DMSO溶液, 处理组胚胎注射各化合物不同浓度溶液.剂量为1 5 ng TPT, 20 80 ng Rosi, 5 20 ng T0070907.注射后的胚胎静置2 h, 之后转移至盛满0.1$\times$MMR溶液的培养皿中, 置于26$\pm $0.5℃培养箱中培养.

培养中的胚胎分3种情况收集. ①  用于观察表型的胚胎培养至S40期左右收集, 用75%乙醇固定1 d后拍照; ②  用于检测头、眼部标志基因的胚胎在S20期及S25期收集.用于整胚原位杂交的胚胎收集于MEMFA固定液 (10 mL配方: 1 mol/L 3-(N-吗啡啉) 丙磺酸1 mL, 20 mmol/L乙二醇二乙醚二胺四乙酸1 mL, 10 mmol/L硫酸镁1 mL, 37%甲醛1 mL, 纯水定容至10 mL) 中固定2 h之后转移至甲醇中-20℃保存; ③  用于反转录定量PCR的胚胎在达到S20期及S25期时收集于RNA Later中.其中, 每个化合物每个剂量组注射30只胚胎, 注射3次作为平行实验用于后续存活率及表型分析; 整胚原位杂交实验每个剂量组为12只受试胚胎; 反转录定量PCR中每个剂量组含3个平行, 一个平行为20只胚胎.

1.4 畸形的观察与分析

将胚胎置于体视镜下进行发育状况和畸形表型的观察, 并使用Axiocam ICc3型显微照相系统拍照, 保存照片并用于后续分析.结果分析主要包括统计存活率及体长, 并根据爪蟾胚胎畸形级数分析系统统计畸形级数[13].胚胎的体长用软件ACDSee 10进行测量[14].畸形级数分析中, 每个注射组中随机取5个胚胎进行分析, 以其平均值作为该组相应指标的值.其中, 只有存活的胚胎用于体长及畸形数据的统计分析.

1.5 整胚原位杂交

整胚原位杂交总过程涵盖5 d, 主要包括水化、消化及重固定胚胎; 胚胎与杂交液预杂交及与相应探针杂交液杂交; 利用封闭液封闭非特异性位点; 用含地高辛抗体的封闭液孵育胚胎; 用马来酸洗去背景信号; AP buffer洗涤并用BM purple显色; 胚胎的重固定及漂白; 最后胚胎于1$\times$PBS溶液中拍照, 4℃保存.本文所用的热带爪蟾en2, bf1, krox20pax6地高辛标记的反义RNA探针均获赠于浙江大学黄晓实验室, 各基因号见表 1.具体实验步骤参照文献[15].

表 1 热带爪蟾头眼部标志基因定量PCR引物序列表 Tab.1 Oligonucleotide primers for real-time RT-PCR analysis of marker genes in Xenopus tropicalis
1.6 定量PCR

首先, 利用RNeasy® Mini Kit对胚胎的总RNA进行抽提, 之后利用PrimeScript$^{\rm TM}$ RT reagent Kit进行反转录, 反转录后的cDNA置于-80 ℃短暂保存.定量PCR利用ABI 7500 Sequence Detection系统.以$\beta $-actin作为内参基因, 采用SYBR-green荧光染料法 (SYBR Premix Ex Taq) 进行检测.所有引物均利用Primer Express 5.0及NCBI primer design tool设计, 序列见表 1.具体实验步骤参照文献[6].

1.7 数据统计

定量PCR实验数据采用$2^{-\Delta\Delta {\rm CT}}$方法进行处理.所有数据使用数据分析软件SPSS 16.0做显著性差异分析, 并用作图软件OriginPro 8.0进行作图.

2 结果 2.1 对胚胎存活及发育的影响

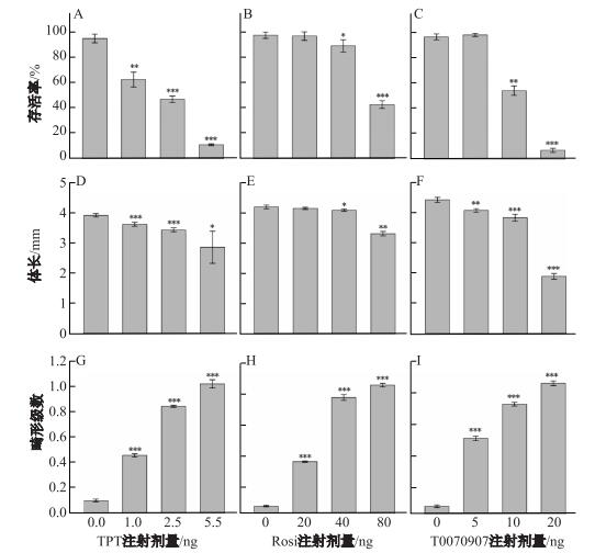
胚胎到达S40期时, 各对照组的存活率均$>95%$.与对照组相比, 注射1 5 ng TPT, 40 80 ng Rosi, 10 20 ng T0070907的胚胎存活率均受到显著影响.其中, 2.5 ng TPT注射组存活率为46.9%, 80 ng Rosi注射组存活率为42.7%, 10 ng T0070907注射组存活率为54.2%.注射20 ng Rosi或5 ng T0070907对胚胎的存活率没有显著影响 (见图 1A-C).

注:各标准差均由3次平行实验结果得出; 暴露组与对照组相比*$P < $0.05, **$P < $0.01, ***$P < $0.001 图 1 TPT、Rosi及T0070907内暴露对热带爪蟾胚胎存活、体长及畸形级数的影响 Fig.1 Effects of TPT, Rosi and T0070907 in ovo exposure on the survival rate, whole body length and malformation degree in Xenopus tropicalis embryos

就体长而言, 各注射组与对照组相比均有一定程度的减小. 5 ng TPT注射组与对照相比减少了27%, 80 ng Ros i注射组减少了22%, 20 ng T0070907注射组减少了57%(见图 1D-F).

2.2 对胚胎的致畸效应及致畸强度

胚胎到达S40期时, 对照组整体正常, 头部浑圆, 眼睛成圆形, 躯干上分布星状色素, 尾平直, 鳍平展 (见图 2A). TPT注射组与对照相比, 出现多种畸形现象, 如:发育迟缓、色素减少、脊柱弯曲、尾部弯曲、唾液腺下移和泄殖腔畸形, 最为明显的为小头畸形及眼睛变小 (见图 2B). Rosi注射组与对照相比, 出现晶状体浑浊、色素减少、泄殖腔膨大、躯干拉长和小头畸形 (见图 2C). T0070907注射组出现小头畸形、眼睛变小、围心腔水肿、尾巴弯曲、脊柱弯曲和色素减少 (见图 2D).

注: b头, bn脊柱弯曲, bt尾部弯曲, dcg唾液腺下移, e眼, eg唾液腺, eh围心腔水肿, elp泄殖腔膨大, hpo色素减少, mcp小头畸形, p泄殖腔, sp皮肤色素, st躯干拉长, t尾, te晶状体浑浊; 标尺=0.5 mm 图 2 TPT、Rosi及T0070907内暴露对热带爪蟾胚胎的致畸效应 Fig.2 Teratogenic effects of TPT, Rosi and T0070907 in ovo exposure on Xenopus tropicalis embryos

通过畸形级数分析系统将胚胎的畸形程度量化后发现, 对照组胚胎的畸形级数均在0.1以下.胚胎的畸形级数随着每种化合物的剂量升高而升高.其中最高剂量的TPT (5 ng)、Rosi (80 ng) 和T0070907 (20 ng) 的平均畸形级数非常相近, 分别为1.02, 1.01和1.03 (见图 1G-I).

2.3 三苯基锡对胚胎头、眼标志基因表达的影响

对照组胚胎bf1en2krox20pax6的表达均丰富且对称 (见图 3A1-D1), 与该时期发育正常的热带爪蟾胚胎表达一致[16].前脑标志基因bf1杂交信号在处理组胚胎中位置弥散且信号随TPT剂量增大而变弱 (见图 3A2-4); 中脑标志基因en2随TPT剂量增大而变弱, 在5 ng注射组中部分胚胎还出现仅一处信号 (见图 3B2-4); 后脑标志基因krox20的表达位置变化不大, 但表达量随TPT剂量增大而变弱 (见图 3C2-4); 眼睛标志基因pax6的表达信号随TPT剂量增大而逐渐变弱且区域变小, 5 ng注射组部分胚胎未检测到表达信号 (见图 3D2-4).

注:红色箭头所示蓝紫色区域为整胚原位杂交信号; bf1, en2, krox20, pax6分别为热带爪蟾前脑、中脑、后脑、眼睛的标志基因; A-C组胚胎为S20期, 照片为背面观; D组胚胎为S25期, 照片为侧面观 图 3 TPT内暴露对热带爪蟾胚胎头部及眼部标志基因表达的影响 Fig.3 Effects of TPT in ovo exposure on brain and eye marker genes expression in Xenopus tropicalis embryos

定量PCR表明, 在1 ng TPT注射组中3个脑部标志基因的表达量均没有显著性差异, 但在2.5 ng及5 ng TPT注射组, 表达量随剂量增大而减少. 5 ng组中, bf1的相对表达量降低了84%, en2降低了81%, krox20降低了49%(见图 4A-C).眼睛标志基因pax6在所有注射组都受到显著影响, 相对表达量在3个注射组分别降低了14%、69%及85%(见图 4D).

注:各标准差均由3次平行实验结果计算得出; 暴露组与对照组相比*$P < $0.05, **$P < $0.01, ***$P < $0.001 图 4 TPT内暴露对热带爪蟾胚胎头部及眼部标志基因表达量的影响 Fig.4 Effects of TPT in ovo exposure on brain and eye marker gene expression levels in Xenopus tropicalis embryos
3 讨论 3.1 TPT对胚胎的致畸效应

在经典的爪蟾胚胎致畸实验 (FETAX, The Frog Embryo Teratogenesis Assay-Xenopus) 中化合物的暴露始于囊胚期晚期, TPT对热带爪蟾胚胎引起的主要畸形表型为:鳍变窄至消失, 且TPT的敏感阶段处于S32-S46阶段[6].本文利用显微注射使化合物的暴露开始于胚胎的发育起点, 发现TPT对热带爪蟾胚胎的鳍影响并不大, 主要畸形部位为头部及眼睛.这表明在同一物种中, 化合物的作用时期不同, 所致的毒性效应也存在不同.这可能是由于各组织器官的分化、形成时期具有时间特异性所致[17].在西伯利亚鲟 (Acipenser baerii) 胚胎中, 显微注射27 681 ng TPT/g (湿重) 也使得胚胎出现了小眼及无眼的畸形现象, 这与本文的结果一致.而在西伯利亚鲟胚胎中并未出现小头畸形, 出现的骨骼畸形 (脊柱弯曲) 在热带爪蟾胚胎中也并不明显[8].这表明了同一化合物对不同物种作用的相似性及差异性.

另一方面, 溶液 (外) 暴露实验模拟了施用过含TPT杀菌剂的农田及附近径流对胚胎的生长状况的影响, 本文的显微注射 (内) 暴露实验模拟了由“母体-卵”这一路径迁移的TPT对两栖类胚胎的影响.这两种实验方法在研究TPT对胚胎的致畸效应时存在互补关系.显微注射作为评价化合物毒性的有力工具, 在胚胎毒理学中也得到了一些学者的应用及推荐[18-20].

3.2 TPT对胚胎头、眼部标志基因的影响

bf1(forkhead box G1), en2(engrailed homeobox 2), krox20(early growth response 2) 及pax6(paired box 6) 分别是典型的前脑、中脑、后脑及眼睛区域的标志基因, 被大量研究者用于爪蟾胚胎学的研究[21-23].本文中整胚原位杂交实验表明TPT降低了S20期 (神经胚期) 或S25期 (早期尾牙期) 胚胎中前脑、中脑、后脑及眼睛标志基因的表达.这进一步发展为S40期时观察到的小头畸形及小眼畸形.这与实验室前期研究中提出的TPT对热带爪蟾胚胎的致畸敏感阶段为S32-S46 (晚期尾牙期至蝌蚪期)[14]截然不同.整胚原位杂交实验证实了TPT在神经胚以前就开始影响胚胎.也暗示着胚胎的胶膜及卵膜在早期阻止了TPT的进入, 进而保护了胚胎.

整胚原位杂交使得研究者能清晰地看到所关注基因的在体空间表达, 在胚胎毒理学的研究中受到广泛使用[24-25].本文也表明标志基因的整胚原位杂交使得在各器官发育成形之前, 就能清楚地观察到其区域, 十分便于讨论污染物的早期发育毒性, 以及利用发育生物学的思路及技术手段探索化合物对胚胎的致畸机制.

3.3 TPT致畸与PPAR$\gamma $的关系

PPAR$\gamma $广泛地参与了生物体的多个生理过程, 如葡萄糖稳态、脂质代谢、脂蛋白代谢、炎症及免疫反应和老龄化等[26-28]. PPAR$\gamma $与维甲酸X受体 (RXR, Retinoid X Receptor) 结合成异二聚体后, 通过配体依赖的反式激活、配体依赖的反式阻遏及非配体依赖性的抑制这3种方式来调节转录[29].本文表明, TPT与PPAR$\gamma $激动剂Rosi、抑制剂T0070907都引起了类似的明显头部及眼部畸形.这与一般污染物引起的常见畸形表型如水肿、尾巴弯曲、鳍皱褶、皮肤色素减少相比具有很高的特异性[30-31].有研究还指出PPAR$\gamma $在眼部疾病方面扮演重要角色[32], 敲除RXR$\alpha $的小鼠出现眼睛畸形[33]等.

本实验中, PPAR$\gamma $受到低剂量的抑制剂干扰时, 胚胎的存活受到强烈影响, 而受到低剂量的激动剂处理时, 胚胎存活率变化不大.这可能是由于抑制PPAR$\gamma $导致脂肪酸的氧化受到阻碍进而影响了需要能量供应的胚胎存活及生长[8].而胚胎受到高浓度的激动剂处理时, 胚胎的存活及发育也受到阻碍, 说明不正常的PPAR$\gamma $调节对胚胎十分不利, PPAR$\gamma $在热带爪蟾胚胎的早期特别是头、眼发育中起着非常重要的作用.相近剂量的T0070907还与TPT引起的畸形效应十分接近, 这暗示着TPT的致畸与PPAR$\gamma $可能存在某种关系.但确切的定论还需要更多的数据证实.

4 结论

本文通过显微注射在热带爪蟾中模拟了TPT由“母体-卵”这一转移过程, 发现TPT能显著降低胚胎的存活率, 并能导致早期胚胎头部及眼睛变小甚至消失的畸形.指出了环境中生物母体富集的TPT对后代的潜在危害.另一方面, PPAR$\gamma $的激动剂与抑制剂对胚胎的存活及发育也有影响, 说明PPAR$\gamma $在热带爪蟾胚胎的早期发育中扮演了非常重要的角色. PPAR$\gamma $抑制剂T0070907导致的畸形与TPT有一定的相似性.

参考文献
[1] YI A X, LEUNG K M Y, LAM M H W, et al. Review of measured concentrations of triphenyltin compounds in marine ecosystems and meta-analysis of their risks to humans and the environment[J]. Chemosphere, 2012, 89(9): 1015-1025. DOI:10.1016/j.chemosphere.2012.05.080
[2] JONES-LEPP T L, VARNER K E, HEGGEM D. Monitoring dibutyltin and triphenyltin in fresh waters and fish in the United States using micro-liquid chromatorgraphy-electrospray/ion trap mass spectrometry[J]. Arch Environ Con Tox, 2004, 46(1): 90-95. DOI:10.1007/s00244-003-2286-4
[3] LARANJEIRO F, SANCHEZ-MARIN P, BARROS A, et al. Triphenyltin induces imposex in Nucella lapillus through an aphallic route[J]. Aquat Toxicol, 2016, 175: 127-131. DOI:10.1016/j.aquatox.2016.03.005
[4] DIMITRIOU P, CASTRITSI J. Acute toxicity effects of tributyltin chloride and triphenyltin chloride on gilthead seabream, Sparus aurata L, embryos[J]. Ecotox Environ Safe, 2003, 54(1): 30-35. DOI:10.1016/S0147-6513(02)00008-8
[5] SHI H, ZHU P, SUN Z, et al. Divergent teratogenicity of agonists of retinoid X receptors in embryos of zebrafish (Danio rerio)[J]. Ecotoxicology, 2012, 21(5): 1465-1475. DOI:10.1007/s10646-012-0900-9
[6] YU L, ZHANG X, YUAN J, et al. Teratogenic effects of triphenyltin on embryos of amphibian (Xenopus tropicalis):A phenotypic comparison with the retinoid X and retinoic acid receptor ligands[J]. J Hazard Mater, 2011, 192(3): 1860-1868. DOI:10.1016/j.jhazmat.2011.07.027
[7] GUDHMUNDSDOTTIR L O, HO K K Y, LAM J C W, et al. Long-term temporal trends (1992-2008) of imposex status associated with organotin contamination in the dogwhelk Nucella lapillus along the Icelandic coast[J]. Mar Pollut Bull, 2011, 63(5): 500-507.
[8] HU J, ZHANG Z, WEI Q, et al. Malformations of the endangered Chinese sturgeon, Acipenser sinensis, and its causal agent[J]. P Natl Acad Sci USA, 2009, 106(23): 9339-9344. DOI:10.1073/pnas.0809434106
[9] NASSEF M, KIM S G, SEKI M, et al. In ovo nanoinjection of triclosan, diclofenac and carbamazepine affects embryonic development of medaka fish (Oryzias latipes)[J]. Chemosphere, 2010, 79(9): 966-973. DOI:10.1016/j.chemosphere.2010.02.002
[10] COLMAN J R, TWINER M J, HESS P, et al. Teratogenic effects of azaspiracid-1 identified by microinjection of Japanese medaka (Oryzias latipes) embryos[J]. Toxicon, 2005, 45(7): 881-890. DOI:10.1016/j.toxicon.2005.02.014
[11] GRUN F, WATANABE H, ZAMANIAN Z, et al. Endocrine-disrupting organotin compounds are potent inducers of adipogenesis in vertebrates[J]. Mol Endocrinal, 2006, 20(9): 2141-2155. DOI:10.1210/me.2005-0367
[12] HIGLEY E, TOMPSETT A R, GIESY J P, et al. Effects of triphenyltin on growth and development of the wood frog (Lithobates sylvaticus)[J]. Aquat Toxicol, 2013, 144: 155-161.
[13] HU L, ZHU J, ROTCHELL J M, et al. Use of the enhanced frog embryo teratogenesis assay-Xenopus (FETAX) to determine chemically-induced phenotypic effects[J]. Sci Total Environ, 2015, 508: 258-265. DOI:10.1016/j.scitotenv.2014.11.086
[14] YUAN J, ZHANG X L, YU L, et al. Stage-specific malformations and phenotypic changes induced in embryos of amphibian (Xenopus tropicalis) by triphenyltin[J]. Ecotoxicol Environ Saf, 2011, 74(7): 1960-1966. DOI:10.1016/j.ecoenv.2011.07.020
[15] TANIBE M, ISHIURA S I, ASASHIMA M, et al. xCOUP-TF-B regulates xCyp26 transcription and modulates retinoic acid signaling for anterior neural patterning in Xenopus[J]. Int J Dev Biol, 2012, 56(4): 239-244. DOI:10.1387/ijdb.113482mt
[16] XENBASE. 爪蟾联盟数据库[DB/OL]. [2016-03-20]. http:www.xenbase.org.
[17] GONZALEZ-DONCEL M, FERNANDEZ-TORIJA C, HINTON D E, et al. Stage-specific toxicity of cypermethrin to medaka (Oryzias latipes) eggs and embryos using a refined methodology for an in vitro fertilization bioassay[J]. Arch Environ Con Tox, 2004, 48(1): 87-98. DOI:10.1007/s00244-003-0223-1
[18] HANO T, OSHIMA Y, OE T, et al. Quantitative bio-imaging analysis for evaluation of sexual differentiation in germ cells of olvas-GFP/ST-Ⅱ YI Medaka (Oryzias Latipes) nanoinjected in ovo with ethinylestradiol[J]. Environ Toxicol Chem, 2005, 24(1): 70-77. DOI:10.1897/03-610.1
[19] NASSEF M, SANG G K, SEKI M, et al. In ovo nanoinjection of triclosan, diclofenac and carbamazepine affects embryonic development of medaka fish (Oryzias latipes)[J]. Chemosphere, 2010, 79(9): 966-973. DOI:10.1016/j.chemosphere.2010.02.002
[20] COLMAN J R, TWINER M J, HESS P, et al. Teratogenic effects of azaspiracid-1 identified by microinjection of Japanese medaka (Oryzias latipes) embryos[J]. Toxicon, 2005, 45(7): 881-890. DOI:10.1016/j.toxicon.2005.02.014
[21] ERMAKOVA G V, SOLOVIEVA E A, MARTYNOVA N Y, et al. The homeodomain factor Xanf represses expression of genes in the presumptive rostral forebrain that specify more caudal brain regions[J]. Dev Biol, 2007, 307(2): 483-497. DOI:10.1016/j.ydbio.2007.03.524
[22] RODRIGUEZ-SEGUEL E, ALARCON P, GOMEZ-SKARMETA J L. The Xenopus Irx genes are essential for neural patterning and define the border between prethalamus and thalamus through mutual antagonism with the anterior repressors Fezf and Arx[J]. Dev Biol, 2009, 329(2): 258-268. DOI:10.1016/j.ydbio.2009.02.028
[23] WEI S, XU G, BRIDGES L C, et al. Roles of ADAM13-regulated Wnt activity in early Xenopus eye development[J]. Dev Biol, 2012, 363(1): 147-154. DOI:10.1016/j.ydbio.2011.12.031
[24] DONG W, MACAULAY L J, KWOK K W H, et al. Using whole mount in situ hybridization to examine thyroid hormone deiodinase expression in embryonic and larval zebrafish:a tool for examining OH-BDE toxicity to early life stages[J]. Aquat Toxicol, 2013, 132: 190-199.
[25] TERAOKA H, DONG W, OGAWA S, et al. 2, 3, 7, 8-Tetrachlorodibenzo-p-dioxin toxicity in the zebrafish embryo:Altered regional blood flow and impaired lower jaw development[J]. Toxicol Sci, 2002, 65(2): 192-199. DOI:10.1093/toxsci/65.2.192
[26] TONTONOZ P, SPIEGELMAN B M. Fat and beyond:The diverse biology of PPARγ[J]. Annu Rev Biochem, 2008, 77: 289-312. DOI:10.1146/annurev.biochem.77.061307.091829
[27] EVANS R M, BARISH G D, WANG Y X. PPARs and the complex journey to obesity[J]. Nat Med, 2004, 10(4): 355-361. DOI:10.1038/nm1025
[28] KOSTADINOVA R, WAHLI W, MICHALIK L. PPARs in diseases:Control mechanisms of inflammation[J]. Curr Med Chem, 2005, 12(25): 2995-3009. DOI:10.2174/092986705774462905
[29] RICOTE M, GLASS C K. PPARs and molecular mechanisms of transrepression[J]. Biochimica et Biophysica Acta, 2007, 1771(8): 926-35. DOI:10.1016/j.bbalip.2007.02.013
[30] BONFANTI P, COLOMBO A, ORSI F, et al. Comparative teratogenicity of chlorpyrifos and malathion on Xenopus laevis development[J]. Aquat Toxicol, 2004, 70(3): 189-200. DOI:10.1016/j.aquatox.2004.09.007
[31] SAKA M. Developmental toxicity of p, p'-dichlorodiphenyltrichloroethane, 2, 4, 6-trinitrotoluene, their metabolites, and benzo[J]. Environ Toxicol Chem, 2004, 23(4): 1065-1073. DOI:10.1897/03-272
[32] ZHANG S, GU H, HU N. Role of peroxisome proliferator-activated receptor γ in ocular diseases[J]. J Ophthalmol, 2015, 2015: 1-10.
[33] KASTNER P, GRONDONA J M, MARK M, et al. Genetic analysis of RXR alpha developmental function:Convergence of RXR and RAR signaling pathways in heart and eye morphogenesis[J]. Cell, 1994, 78(6): 987-1003. DOI:10.1016/0092-8674(94)90274-7