文章快速检索     高级检索
  华东师范大学学报(自然科学版)  2018 Issue (2): 141-150  DOI: 10.3969/j.issn.1000-5641.2018.02.015
0

引用本文  

周枭潇, 毕春娟, 汪萌, 等. 大气沉降对叶菜重金属的污染效应及其健康风险[J]. 华东师范大学学报(自然科学版), 2018, (2): 141-150. DOI: 10.3969/j.issn.1000-5641.2018.02.015.
ZHOU Xiao-xiao, BI Chun-juan, WANG Meng, et al. Pollution effects of atmospheric deposition on heavy metals in leafy vegetables and its health risks[J]. Journal of East China Normal University (Natural Science), 2018, (2): 141-150. DOI: 10.3969/j.issn.1000-5641.2018.02.015.

基金项目

国家自然科学基金(41271472);华东师范大学大型仪器设备开放基金

第一作者

周枭潇, 男, 硕士研究生, 研究方向为城市与三角洲环境过程.E-mail:384268455@qq.com

通信作者

毕春娟, 女, 副教授, 研究方向为城市与三角洲环境过程.E-mail:cjbi@geo.ecnu.edu.cn

文章历史

收稿日期:2017-03-10
大气沉降对叶菜重金属的污染效应及其健康风险
周枭潇1,2, 毕春娟1,2, 汪萌1,2, 周雅1,2, 陈振楼1,2     
1. 华东师范大学 地理信息科学教育部重点实验室, 上海 200241;
2. 华东师范大学 地理科学学院, 上海 200241
摘要:为系统研究大气沉降对叶菜重金属的污染效应及摄入蔬菜的健康风险,选取上海市郊工业区附近农田作为研究区域,对比分析了露天和大棚种植的青菜、生菜、苋菜和空心菜样品中的重金属含量,并利用目标危害商数对蔬菜可食部分进行了健康风险评价.结果表明,棚外蔬菜中重金属含量普遍高于棚内,棚外蔬菜可食部分中Zn、Cr、Cu、Pb、Cd、Hg和As的平均含量分别为7.32、0.91、0.52、0.007、0.029、0.002和0.014 mg· kg-1,其中Zn、Cr、Cu、Cd和Hg比棚内分别高出26.4%、28.4%、44.4%、33.9%和14.0%.棚内蔬菜的富集系数均高于棚外,表明大棚外蔬菜中重金属受大气沉降的影响较大.不同蔬菜对于不同重金属的富集能力差异明显,苋菜对Zn、Hg、As和Cu的富集能力最强,空心菜对Pb的富集能力最强.棚外四种蔬菜的综合目标危害商数(TTHQ)在1.41~2.99之间,平均值为2.29;棚内TTHQ在1.10~2.19之间,平均值为1.85,比棚外低23.4%.研究发现,四种蔬菜对成人和儿童健康均会产生一定威胁,而棚外四种蔬菜的摄入风险要高于棚内.大气干湿沉降是蔬菜中重金属的重要来源之一,建议在大气重金属污染高风险区域避免蔬菜露天种植,从而减少大气沉降对蔬菜富集重金属的影响.
关键词蔬菜    大气沉降    重金属污染    健康风险    
Pollution effects of atmospheric deposition on heavy metals in leafy vegetables and its health risks
ZHOU Xiao-xiao1,2, BI Chun-juan1,2, WANG Meng1,2, ZHOU Ya1,2, CHEN Zhen-lou1,2    
1. Key Laboratory of Geographic Information Science, Ministry of Education, East China Normal University, 200241, China;
2. School of Geographic Sciences, East China Normal University, Shanghai 200241, China
Abstract: In order to study the pollution effects of heavy metals in atmospheric deposition on leafy vegetables and health risks via consuming vegetables, this research chooses a farmland near the suburban Shanghai as a study area, makes comparative analysis of heavy metal contents in vegetables samples, including Shanghai Green cabbage, leaf lettuce, amaranth and water spinach, both in outdoor and greenhouses, and makes the health risk assessment of the edible parts of vegetables using the target hazard quotient (THQ). The results show that the heavy metal contents of the vegetables in outdoor are higher than those in greenhouses. The average contents of Zn, Cr, Cu, Pb, Cd, Hg, and As in outdoor vegetables are 7.32, 0.91, 0.52, 0.007, 0.029, 0.002, and 0.014 mg·kg-1, respectively; among which, the contents of Zn, Cr, Cu, Cd, and Hg are 26.4%, 28.4%, 83.3%, 33.9%, and 14% higher than those in greenhouses, respectively. The enrichment factors of greenhouse vegetables are higher than those of outdoor vegetables, showing that the heavy metals of outdoor vegetables are greatly influenced by atmospheric deposition. Different vegetables have different enrichment capacity of heavy metals. Amaranth has the strongest enrichment capacity for Zn, Hg, As and Cu; while water spinach has the most powerful enrichment capacity for Pb. TotalTarget Hazard Quotient (TTHQ)values ofvegetables in outdoor are between 1.41 to 2.99 with an average of 2.29; while those in greenhouses are between 1.10 to 2.19 with an average of 1.85, which is 23.4% lower than the outdoor values. There is a threat for the health of adult and children. The risk of consuming vegetables in outdoor is higher than that in greenhouses. Atmospheric deposition is one of the important sources of heavy metals in vegetables. Hence, we suggest to avoid outdoor cultivating vegetables in high risk areas with atmospheric pollution of heavy metals, thus reducing the impact of atmospheric deposition on enrichment of heavy metals in vegetables.
Key words: vegetables    atmospheric deposition    heavy metal pollution    health risk    
0 引言

蔬菜富含多种人体所必需的维生素、糖类、膳食纤维和矿物质等营养成分[1], 在人们日常饮食中占有重要比例.近年来, 食品重金属超标事件频频发生, 如2013年湖南万吨大米Cd含量超标事件, 2015年河南葡萄酒Cu超标事件等.近日, 国务院印发的《"十三五"国家食品安全规划》中强调耕地重金属污染治理并明确要求严格实施从农田到餐桌的全链条监管.因为重金属含量超标而引发的食品安全问题愈发引起社会的关注.重金属一般不能被微生物降解和利用, 且可以通过食物链在人体内累积[2-4].人体摄入过量的Hg和As, 会对皮肤、肾脏、脑细胞和动脉血管等产生不良影响, 同时Hg、As和Cr等还具有致癌性. Pb危害造血功能, 影响免疫功能、内分泌系统和消化系统; Zn和Cu虽然是人体必需的微量元素, 但摄入过量会影响人体器官, 如肝、肾、大脑和消化系统[5-7].因此, 研究蔬菜中重金属的累积及其健康风险对保障人体健康具有重要意义.

大气沉降是大气圈向地面进行物质输送的主要方式, 被排入大气的重金属污染物, 最终会通过大气沉降返回地表, 从而影响生态环境, 并可通过直接吸入或食物链累积等方式, 影响人体健康[8-9].研究表明, 大气中的重金属主要来源于工业生产和交通运输等人为活动, 并具有滞留时间长、输送距离远和富集能力强等特点[10].土壤及大气沉降物中的重金属会通过根系吸收和叶面吸收方式在蔬菜体内富集, 对人体健康带来潜在危害[11].迄今为止, 关于城市大气沉降对蔬菜重金属影响的研究资料还较为缺乏, 本研究主要通过在大田微区中设置大棚和露天蔬菜对比种植实验, 探讨大气沉降对于蔬菜累积重金属的影响, 以期为蔬菜食用安全保障提供科学依据.

1 材料与方法 1.1 研究区域

研究区处于上海市闵行区东南部, 因独特的区位因素和历史原因, 集聚了上海焦化有限公司、氯碱化工股份有限公司、吴泾化工有限公司、吴泾热电厂、上海三爱富股份有限公司等一批大型重化工企业, 其周边空气质量与环境安全卫生一直是上海市环境污染的热点问题.试验田位于闵行区南部紫凤路附近(31.03°N, 121.46°E), 如图 1所示.已有研究中, 上海市大气颗粒物中As、Cr、Cu、Pb、Mn和Ni的含量依次为0.12、1.67、0.14、0.11、1.07和0.1 $\mu $g·m$^{-3}$[12].

图 1 研究区域及采样点位置图 Fig.1 Location of the study area and sampling site
1.2 实验方法

为了研究上海市郊工业区附近大气污染对蔬菜重金属的污染效应, 距离道路约1 500 m处, 受交通影响较小的农田区域选择两块5.0 m×1.5 m的试验田.其中一个搭建塑料大棚, 另一个露天种植.每块试验田分隔成四个地块, 分别种植生菜、青菜、苋菜和空心菜, 采用相同的田间管理方式(见图 1).在采样期间仅使用纯水灌溉, 在蔬菜生长的幼苗期(发芽后约9~12 d)、生长中期(发芽后约17~21 d)和成熟期(发芽后约26~30 d)分别进行三次采样.

1.3 样品采集与分析

采集的样品主要是表层土壤及蔬菜叶片可食部分和根部.土壤样品用多点采样法混匀, 并剔除样品中的碎石和动植物残留.采集的蔬菜样品用超纯水洗净.土壤样品使用土壤原位pH计(IQ150, 美国IQ Scientific)测定pH, 蔬菜和土壤样品称重后经冷冻干燥机(Christ, Germany)冻干, 后研磨均匀.

称取0.1 g土壤样品于聚四氟乙烯密封罐中, 依次加入3 mL HNO$_{3}$、3 mL HF、1 mL HClO$_{4}$.称取0.5 g蔬菜样品于聚四氟乙烯密封罐中, 分别加入5 mL HNO$_{3}$和1 mL HClO$_{4}$.将聚四氟乙烯密封罐放入高压消解罐中, 在180℃条件下消解2 h.冷却后置于电加热板加热至剩余1~2 mL, 用2% HNO$_{3}$定容至50 mL, 静置并隔夜后取上清液上机测试. Cu、Pb、Zn、Cd和Cr用原子吸收光谱仪(contrAA700, Analytik Jena)检测, Hg和As用原子荧光光谱仪(AFS-9230, 北京吉天公司)检测, 并把重金属含量换算成鲜重计算.

1.4 质量控制

实验中使用的所有玻璃仪器、容器都先用10%硝酸浸泡24 h以上, 然后依次用自来水和超纯水冲洗干净.在样品消解过程中, 使用GBW10014(GSB-5)蔬菜标样和GBW07406(GSS-6)土壤标样进行质量控制, 并同步分析空白样品以去除试剂干扰, 并在每六个样品中加一组平行样品, 确保实验的准确性.所有平行组样品标准偏差在10%以内, 所有重金属的回收率均符合质量控制要求, 回收率在77%~96%之间.

1.5 评价方法

蔬菜重金属污染采用内梅罗综合污染指数法进行评价, 计算公式如下:

$ \begin{align} P_i =\frac{C_i }{S_i }, \end{align} $ (1)
$ \begin{align} P_{\mbox{综合}} =\sqrt {\frac{P_{\rm {ave}}^2 +P_{\rm {max}}^2 }{2}}. \end{align} $ (2)

其中, $P_{i}$为蔬菜中重金属的单项污染指数; $C_{i}$表示蔬菜中重金属的浓度; $S_{i}$是蔬菜中重金属的限值; $P_{\mbox{综合}}$为重金属综合污染指数; $P_{\mbox{ave}}$是各重金属污染指数的均值; $P_{\max}$是重金属单项污染指数的最大值.其具体评价标准见表 1.

表 1 内梅罗指数分级 Tab.1 The classification of Nemerow index

食用蔬菜的健康风险采用剂量—效应关系目标危害商数法(THQ, Target Hazard Quotient)进行评价, 计算公式如下:

$ \begin{align} THQ=\frac{E_F \times E_D \times E_{IR} \times C}{R_{FD} \times W_{AB} \times T_A }\times 10^{-3}, \end{align} $ (3)
$ \begin{align} TTHQ=\sum THQ. \end{align} $ (4)

公式3中各参数取值如表 2所示, $TTHQ$是多种重金属的目标危害商数总和.当$TTHQ\le 1.0$时, 表明人体食用蔬菜不会受到健康威胁; 当$TTHQ>1.0$时, 说明人体食用蔬菜可能会受到重金属的危害, 数值越大健康风险越大.

表 2 健康风险评价模型参数 Tab.2 The parameters of health risk assessment
2 结果与讨论 2.1 紫凤路大气干、湿沉降及土壤重金属含量

为研究实验区域在蔬菜生长时间段内大气干、湿沉降中的重金属含量, 对蔬菜生长时期紫凤路的降雨和灰尘进行定期采集.实验结果显示, 降雨中Zn、Cr、Cu、Pb、Cd、Hg和As的平均含量分别为101.0、3.4、8.5、2.0、0.4、0.2和2.8 $\mu $g·L$^{-1}$.灰尘中Zn、Cr、Cu、Pb、Cd、Hg和As的平均含量分别为577.1、36.5、258.3、382.1、1.9、3.8和61.9 mg·kg$^{-1}$.

棚外土壤中Zn、Cr、Cu、Pb、Cd、Hg和As的平均含量分别为150.5、147.5、17.5、27.5、0.103、0.055和7.8 mg$\cdot $kg$^{-1}$, 棚内平均值依次为141.1、144.1、15.6、25.1、0.066、0.034和5.4 mg·kg$^{-1}$.棚外土壤中Zn、Cr、Cu、Pb、Cd、Hg和As的平均含量依次比棚内高: 6.6%、2.3%、12.2%、9.6%、56.1%、61.8%和44.4%.根据食用农产品产地环境质量评价标准(HJ332-2006), 土壤中Zn、Cr、Cu、Pb、Cd、Hg和As的土壤限值分别为300.0、250、100、50、0.4、0.35和20 mg·kg$^{-1}$, 紫凤路棚内棚外的土壤中重金属含量均在限值内, 符合国家规定的农业用地要求.

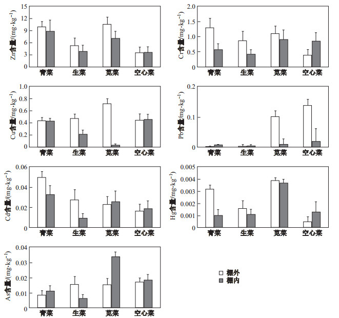
2.2 棚内棚外蔬菜重金属含量分析

棚内棚外四种蔬菜中重金属含量如图 2所示.蔬菜限值中Cr、Pb、Cd、Hg和As来自《食品安全国家标准》(GB 2762-2012), Zn来自食品中锌限量卫生标准(GB 13106-1991), Cu来自食品中铜限量卫生标准(GB 15199-1994), Zn、Cr、Cu、Pb、Cd、Hg和As这七种重金属的蔬菜污染浓度限值分别为20、0.5、10、0.3、0.2、0.01和0.5 mg·kg$^{-1}$.棚外蔬菜中Zn、Cr、Cu、Pb、Cd、Hg和As的平均含量分别为7.32、0.91、0.52、0.007、0.029、0.002和0.014 mg·kg$^{-1}$, 棚内分别为5.79、0.71、0.36、0.010、0.022、0.002和0.149 mg·kg$^{-1}$. Zn、Cu、Cd的棚内棚外含量差异性显著($p<0.05$).紫凤路棚内棚外蔬菜, 除Cr棚外超标82%棚内超标42%外, 其余蔬菜均未超过污染限值.除空心菜外, 其余三种蔬菜可食用部分中Zn、Cr、Cu和Hg棚外露天种植的含量普遍高于棚内, 棚外青菜可食用部分中Zn、Cr、Cu、Cd和Hg的含量依次比棚内高13.4%、128.1%、1.8%、51.3%和69.1%.棚外可食用部分生菜中Zn、Cr、Cu、Cd、Hg和As的含量依次比棚内高36.9%、108.7%、125.3%、192.7%、46.8%和143.9%.棚外苋菜可食用部分中Zn、Cr、Cu、Pb和Hg的含量依次比棚内高50.9%、21.8%、201.1%、10.8%和5.7%.而空心菜可食用部分中Cr、Cu、Pb、Cd、Hg和As的含量依次比棚内低1.6%、59.6%、2.2%、26.9%、11.9%、61.1%和5.9%.表明大气沉降对蔬菜体内重金属积累有明显的促进作用[15].

图 2 棚内外四种蔬菜可食部分中重金属含量 Fig.2 Contents of heavy metals in leaves of four vegetables in or out Greenhouse
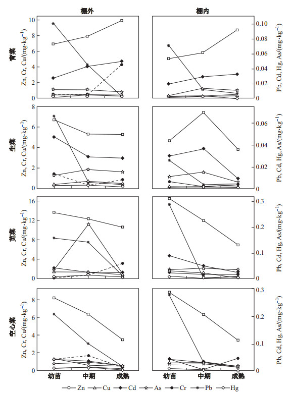
2.3 棚内棚外蔬菜重金属的动态累积特征

棚内棚外蔬菜可食用部分的重金属动态累积过程如图 3所示.由图可知, 大棚内外不同蔬菜对不同重金属的富集差异明显, 但总体上, 均表现为Zn含量最高, Hg和As含量最低.同种蔬菜的不同时期, 可食部分重金属含量有明显变化.青菜中Zn、Cd和Cr元素含量幼苗期到成熟期呈现出增加趋势.棚外青菜中Pb、As及Cu和棚内青菜中Pb、Hg不断减少.生菜中Zn、Pb含量呈减少趋势, Cu、As先增加后减少, 而Cr则相反.棚外生菜Hg先增多后降低, 棚内则不断降低.棚外苋菜可食用部分的Zn、Cd不断降低, Cu与生菜中一致呈先增多后减少.空心菜中Zn、Pb不断降低, 棚外Hg在生长中期出现最高值而棚内则为最低值, 而棚外Cr、Cd先增长后降低, 棚内则相反.就单一元素而言, 棚内棚外各种蔬菜中的Zn和Pb呈相同的变化趋势.

图 3 棚内外四种蔬菜可食部分对重金属的累积特征 Fig.3 The dynamic accumulation characteristics of heavy metals in leaves of four vegetables in or out the greenhouse
2.4 大棚内外蔬菜重金属的富集特征

富集系数是蔬菜可食部分的重金属含量与土壤中重金属含量的比值, 可用来探讨蔬菜对土壤中重金属的吸收和累积效应[16].大棚内外蔬菜可食部分重金属的富集系数如表 4所示.由表可知, 棚内外Cd、Zn富集系数均较高, 说明蔬菜体内Cd、Zn含量受土壤影响较大; 而Pb、As富集系数较低, 表明蔬菜对土壤中的Pb、As吸收能力较小.棚内各种蔬菜的富集系数普遍高于棚外, 说明棚内蔬菜中重金属的主要来源是土壤, 而棚外蔬菜中重金属因为受大气沉降影响土壤来源比例小于棚内.这与程珂等人在研究天津城郊蔬菜重金属含量时得到的结果相似, 其研究表明蔬菜可食部位重金属含量受大气降尘和土壤扬尘影响关系密切, 大气沉降和土壤扬尘是当地蔬菜中重金属As、Pb的主要来源, 而蔬菜中的Cd主要来自于根系, 从土壤吸收[17].

表 4 棚内外蔬菜富集系数 Tab.4 Enrichment coefficients of heavy metals in the vegetables in or out Greenhouse

蔬菜可食部分Zn与根部Zn呈显著正相关($p<0.05$), 可食部分的Cd与根部的Cd呈极显著正相关($p<0.01$), 表明Zn和Cd这两种元素在可食部分的积累主要来自根部运输.蔬菜根部的Cr与土壤中Cr呈显著的正相关关系.蔬菜根部的重金属还与土壤的pH值有关, Zn与pH呈显著负相关, Cd与pH呈极显著负相关($p<0.01$).土壤pH是影响植物吸收重金属最主要的土壤因素.土壤pH值越低, 土壤中解析的重金属就越多, 其活性就越强, 越容易迁移至植物体内.

2.5 蔬菜重金属健康风险评价

大棚内外蔬菜可食部分重金属的$P_{i}$$P_{\mbox{综合}}$表 5所示, 蔬菜可食部分中的Zn、Cu、Pb、Hg和As的单因子污染指数都不超过1, 处于清洁状态.棚外青菜中的Cd元素单因子污染指数为1.03, 为轻度污染水平.而对于Cr元素, 除棚内生菜和空心菜以及棚外空心菜处于清洁水平之外, 其余蔬菜中Cr元素污染指数在1.16~1.81之间, 均处于轻度污染状态.本研究中蔬菜体内Cr元素含量与土壤中Cr含量呈显著正相关性($p<0.05$), 这与刘超等人的研究结果一致, 蔬菜体内Cr主要由蔬菜根部从土壤中吸收[18].受土壤Cr积累影响, 蔬菜Cr含量处于轻度污染水平.各种重金属污染按照从小到大的排序为As、Cu、Pb、Hg、Zn、Cd和Cr, 具有较大毒性的As和Hg元素污染水平较低.除空心菜外, 其余三种蔬菜普遍表现出棚内$P_{i}$低于棚外露天种植, 其原因应该是受大气干湿沉降的影响, 提高了棚外蔬菜的污染水平.而空心菜棚内综合污染指数较高可能与其棚内环境和生长过密导致生长不良、植株较小有关, 使得重金属含量较高.四种蔬菜的综合污染指数$P_{\mbox{综合}}$值在0.63~1.31之间, 均值为0.901, 属于安全水平.棚内生菜和棚外空心菜综合污染指数处于优良等级, 棚外青菜和生菜处于轻污染水平.总的来看, 四种蔬菜综合污染指数从小到大排列为空心菜、苋菜、生菜和青菜.

表 5 棚内外蔬菜重金属污染评价结果 Tab.5 Evaluations on heavy metal pollution in vegetables in or out the Greenhouse

棚内外蔬菜中不同重金属的健康风险评价结果如表 6所示, 食用不同蔬菜的健康风险有较明显差异.对比棚内棚外蔬菜, 除空心菜外, 棚内蔬菜$THQ$$TTHQ$指数几乎都小于棚外蔬菜, 表示棚内蔬菜相对摄入健康风险较小.蔬菜中不同重金属$THQ$排序为Cr>As>Cd>Zn>Cu>Hg>Pb, Cr的$THQ$在0.78~2.13之间, 且在每个蔬菜中都处于最高$THQ$值, Cr元素在综合健康风险指数值$TTHQ$中的贡献率在51.1%~71.4%之间.由于Cr的$THQ$较高, 导致成人和儿童的$TTHQ$均大于1, 说明食用本研究区内蔬菜可能会导致潜在Cr中毒的健康风险.四种蔬菜的综合目标危害商数$TTHQ$在1.10~2.91之间, 平均值为2.07, 说明食用蔬菜对成人和儿童均产生一定威胁.从不同的受众群体来看, 食用等量的蔬菜, 儿童的健康风险明显大于成人, 这与已有的研究所得结论相一致, 不同人群对重金属的敏感性存在差异, 儿童对环境中的污染物最为敏感, 尤其是肝肾等代谢器官的解毒、排泄功能较弱, 极易受到重金属的影响[19-20].总的来看, 各种蔬菜的$TTHQ$值从大到小依次为:苋菜>青菜>生菜>空心菜.

表 6 棚内外蔬菜重金属的目标危害商数 Tab.6 $TTHQ$ of heavy metals in vegetables in or out the Greenhouse
2.6 大气沉降对蔬菜重金属的污染效应

四种蔬菜中的Pb元素含量均随着蔬菜的生长而不断减少, 且Pb的富集系数较低, 棚内四种蔬菜Pb的富集系数均高于棚外, 说明蔬菜中的Pb主要来源为大气污染, 而大气中Pb含量较低, 在蔬菜体内累积速率较慢, 从而使得叶片中的Pb含量随着生长一直下降[21].棚内棚外蔬菜中的Hg含量均较高, 研究表明对于蔬菜中Hg来说, 叶面吸收气态Hg是Hg进入蔬菜的一个重要途径, 且与根部吸收土壤Hg相比, 气态Hg对蔬菜的贡献更为显著[22].除了青菜, 其余三种蔬菜的体内Zn含量随着蔬菜生长都呈不断下降趋势, 且Zn元素的富集系数较高, 研究表明蔬菜对于Zn的吸收主要来源于土壤[23], 青菜根系较为发达, 对于Zn吸收能力较强[24], 造成青菜体内Zn元素含量不断增长.而其余三种蔬菜对于Zn吸收速率小于蔬菜生长的速率, 使得体内Zn含量不断下降.此外, Zn和Cu为植物生长所必需元素, 在较低浓度下, 蔬菜对两种元素存在主动吸收作用, 导致四种蔬菜体内Cu和Zn富集系数均比较高.棚内外Cd富集系数均较高, 说明蔬菜体内Cd含量受土壤影响较大.研究表明, 可食部分的Cd主要从根部吸收.

不同蔬菜对于不同重金属的富集能力也有着较为明显的差异, 苋菜对于Zn、Hg、As和Cu元素的富集能力均表现为最强, 而空心菜对Pb的富集能力最强.这与已有研究结果相似, 这可能与其生理特征、生长周期以及对重金属污染物的敏感程度等多种因素有关[18].

四种蔬菜中除空心菜外, 均表现出棚外蔬菜污染大于棚内, 其健康风险评价也呈相同结果, 就富集系数而言, 棚内蔬菜要普遍大于棚外, 即蔬菜中各种重金属均不同程度地受大气沉降的影响[25].研究表明大气沉降不仅增加土壤中的重金属含量, 同时还会改变土壤的理化性质, 湿沉降会导致棚外土壤的pH值降低, 而降低土壤的pH会增加土壤中的Cd、Zn、Pb、Cu等多种重金属的有效态含量, 释放其活性, 使得蔬菜的吸收利用效率提高[26-28].

设施农业可以通过大棚对蔬菜生长环境进行调控, 为蔬菜生长发育提供良好的环境条件, 可以提高农业产品质量.建议在工业区附近使用大棚种植来减少大气沉降对于蔬菜重金属的影响.

3 结论

(1) 蔬菜可食部分重金属含量与大气降尘关系密切, 大气沉降和土壤扬尘是蔬菜中重金属As、Pb的主要来源, 而蔬菜中的Cd、Zn主要来自于根系吸收.

(2) 不同蔬菜对于不同重金属的富集能力也有着较为明显的差异, 苋菜对于Zn、Hg、As和Cu元素的富集能力均表现为最强, 而空心菜对重金属Pb的富集能力最强.土壤的理化指标也是影响蔬菜重金属吸收的重要因素, pH越低, 吸收效率越高.

(3) 受大气沉降影响, 除空心菜外, 棚内蔬菜$P_{i}$$P_{\mbox{ 综合}}$$THQ$$TTHQ$指数几乎都小于棚外蔬菜, 表示棚内蔬菜相比棚外污染小, 摄入健康风险较小.建议在大气污染较严重区域, 使用设施大棚有效降低蔬菜重金属含量.

参考文献
[1] 李英丽, 果秀敏, 方正, 等. 15种蔬菜营养成分评价[J]. 中国农学通报, 2007, 23(4): 98-100.
[2] ZENG X B, LI L F, MEI X R. Heavy metal content in Chinese vegetable plantation land soils and related source analysis[J]. Agricultural Sciences in China, 2008, 7(9): 1115-1126. DOI:10.1016/S1671-2927(08)60154-6
[3] MUCHUWETI M, BIRKETT J W, CHINYANGA E, et al. Heavy metal content of vegetables irrigated with mixtures of wastewater and sewage sludge in Zimbabwe:Implications for human health[J]. Agriculture Ecosystems & Environment, 2006, 112(1): 41-48.
[4] ROBA C, ROU C, PITEA I, et al. Heavy metal content in vegetables and fruits cultivated in Baia Mare mining area (Romania) and health risk assessment[J]. Environmental Science and Pollution Research, 2016, 23(7): 6062-6073. DOI:10.1007/s11356-015-4799-6
[5] GUO J H, LIU X J, ZHANG Y, et al. Significant acidification in major Chinese croplands[J]. Science, 2010, 327(5968): 1008-1010. DOI:10.1126/science.1182570
[6] LI J C, HU X F, LI W Y, et al. Study on heavy metalpollution analysis and control in protected vegetable base soil[J]. Chinese Agricultural Science Bulletin, 2010, 26(18): 393-396.
[7] WEI S U, LIU J S, FANG L. Assessment on health risk of heavy metals in the Second Songhua River[J]. Journal of Agro-Environment Science, 2006, 25(6): 1611-1615.
[8] WONG C S C, LI X D, ZHANG G, et al. Atmospheric deposition of heavy metals in the Pearl River Delta, China[J]. Atmospheric Environment, 2003, 37(6): 767-776. DOI:10.1016/S1352-2310(02)00929-9
[9] DERRY L A, CHADWICK O A. Contributions from earth's atmosphere to soil[J]. Elements, 2007, 3(5): 333-338. DOI:10.2113/gselements.3.5.333
[10] JAMALI M K, KAZI T G, ARAIN M B, et al. A multivariate study:Variation in uptake of trace and toxic elements by various varieties of Sorghum bicolor, L[J]. Journal of Hazardous Materials, 2008, 158(2): 644-651.
[11] ALAM M G, SNOW E T, TANAKA A. Arsenic and heavy metal contamination of vegetables grown in Samta village, Bangladesh[J]. Science of the Total Environment, 2003, 308(1): 83-96.
[12] 翟立群, 郑祥民, 周立旻, 等. 上海市交通主干道沿线大气颗粒物及其重金属含量分布特征[J]. 城市环境与城市生态, 2010(1): 10-13.
[13] USEPA, 2015. Risk Based Screening Table. Composite Table: Summary Tab 0615. Accessible at. http:/www2.epa.gov/risk/risk based screening table generictables.
[14] BENNETT D, KASTENBERG W E, MCKONE T E. A multimedia, multiple pathway risk assessment of atrazine:the impact of age differentiated exposure including joint uncertainty and variability[J]. Reliability Engineering & System Safety, 1999, 63(2): 185-198.
[15] 张焕焕. 上海市郊大气重金属干沉降对土壤——叶菜系统的污染效应[D]. 上海: 华东师范大学, 2015. http://cdmd.cnki.com.cn/Article/CDMD-10269-1015351711.htm
[16] 谢正苗, 李静, 徐建明, 等. 杭州市郊蔬菜基地土壤和蔬菜中Pb、Zn和Cu含量的环境质量评价[J]. 环境科学, 2006, 27(4): 742-747.
[17] 程珂, 杨新萍, 赵方杰. 大气沉降及土壤扬尘对天津城郊蔬菜重金属含量的影响[J]. 农业环境科学学报, 2015, 34(10): 1837-1845.
[18] 刘超. 上海市郊大气湿沉降重金属对土壤——叶菜系统的污染效应研究[D]. 上海: 华东师范大学, 2016. http://cdmd.cnki.com.cn/Article/CDMD-10269-1016138197.htm
[19] 郭广慧, 宋波. 城市土壤重金属含量及其对儿童健康风险的初步评价——以四川省宜宾市为例[J]. 长江流域资源与环境, 2010, 19(8): 946-952.
[20] CAO S, DUAN X, ZHAO X, et al. Health risks from the exposure of children to As, Se, Pb and other heavy metals near the largest coking plant in China[J]. Science of the Total Environment, 2014, 472(1): 1001-1009.
[21] JOINT FAO/WHO EXPERT COMMITTEE ON FOOD ADDITIVES, ORGANIZATION W H. Evaluation of certain food additives and contaminants forty-first report of the joint FAO/WHO expert committee on food additives[R]. Geneva: World Health Organization, 1993.
[22] 刘德绍, 青长乐. 大气和土壤对蔬菜汞的贡献[J]. 应用生态学报, 2002, 13(3): 315-318.
[23] 黄泽春, 宋波, 陈同斌, 等. 北京市菜地土壤和蔬菜的锌含量及其健康风险评估[J]. 地理研究, 2006, 25(3): 439-448.
[24] 李非里, 刘丛强, 杨元根, 等. 覆膜对土壤-青菜体系Cu和Zn迁移特性的影响[J]. 生态与农村环境学报, 2009, 25(2): 54-58.
[25] 郑娜, 王起超, 刘景双, 等. 葫芦岛市土壤、蔬菜重金属污染空间变化规律[J]. 环境科学, 2009, 30(7): 2071-2076.
[26] 李忠义, 张超兰, 邓超冰, 等. 铅锌矿区农田土壤重金属有效态空间分布及其影响因子分析[J]. 生态环境学报, 2009, 18(5): 1772-1776.
[27] LIAO B, LIU H, ZENG Q, et al. Complex toxic effects of Cd 2+, Zn 2+, and acid rain on growth of kidney bean (Phaseolus vulgaris L)[J]. Environment International, 2005, 31(6): 891-895. DOI:10.1016/j.envint.2005.05.029
[28] 许中坚, 邱喜阳, 冯涛, 等. 酸雨地区蔬菜对重金属的吸收及重金属健康风险基准的估算[J]. 水土保持学报, 2008, 22(4): 179-184.