中国综合性科技类核心期刊(北大核心)J* E* C* N* U* N* S* ›› 2025, Vol. 2025 ›› Issue (6): 29-38.doi: 10.3969/j.issn.1000-5641.2025.06.004
Previous Articles Next Articles
Zefeng HE, Fuke SHEN, Tongquan WEI*(
)
Received:2024-01-29
Online:2025-11-25
Published:2025-11-29
Contact:
Tongquan WEI
E-mail:tqwei@cs.ecnu.edu.cn
CLC Number:
Zefeng HE, Fuke SHEN, Tongquan WEI. Dual decision adaptive freezing for fast and accurate transfer learning[J]. J* E* C* N* U* N* S*, 2025, 2025(6): 29-38.
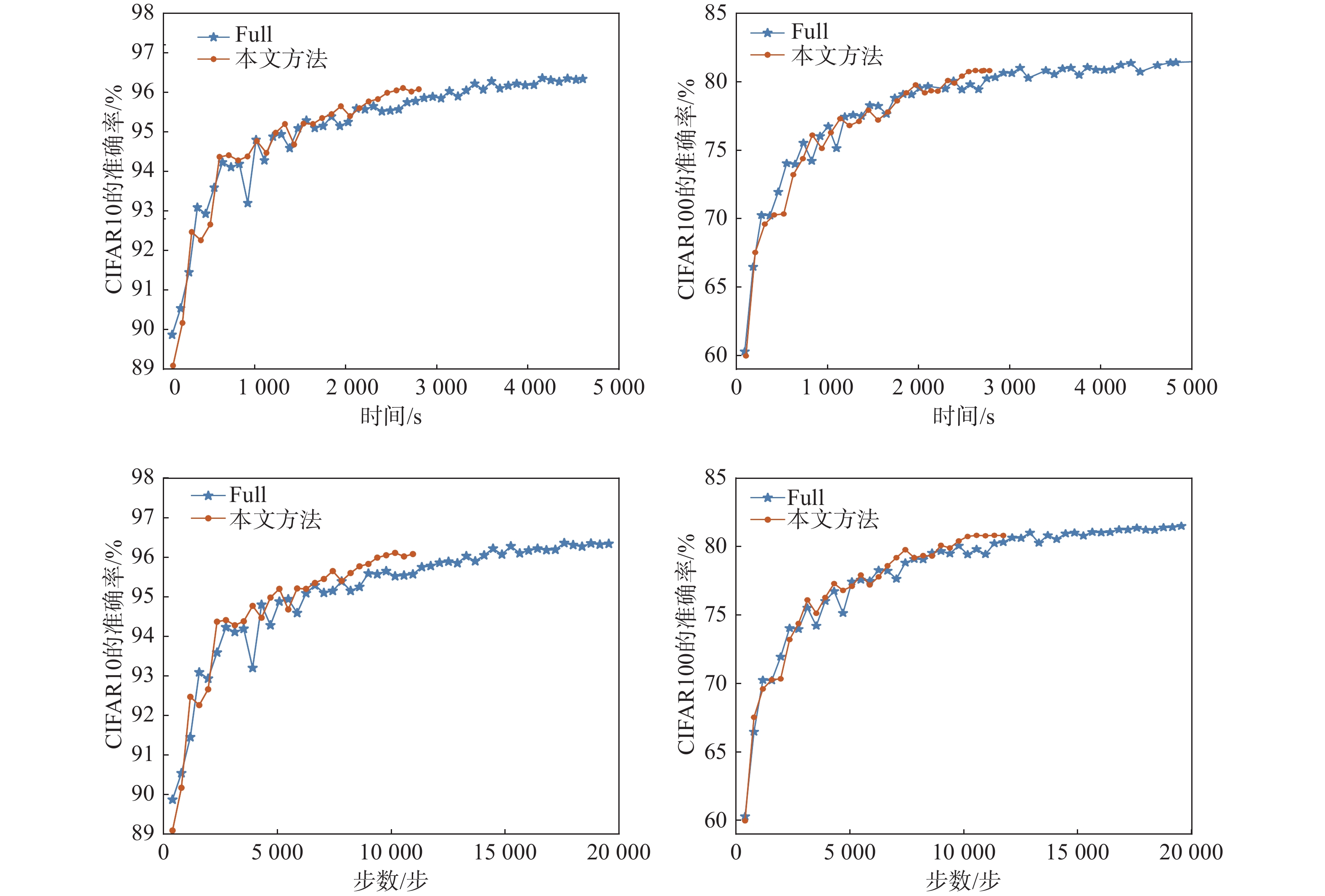
Table 1
Comparison of accuracy and speed of different models on different datasets using different training methods"
| 数据集 | 方法 | 准确率/% | 速度(倍) | |||||||||||
| CIFAR10 | CIFAR100 | Aircraft | Flowers | Cars | CUB | CIFAR10 | CIFAR100 | Aircraft | Flowers | Cars | CUB | |||
| MobileNetv2 | Full | 96.35 | 81.50 | 80.35 | 90.81 | 87.31 | 77.30 | 1.00 | 1.00 | 1.00 | 1.00 | 1.00 | 1.00 | |
| Last | 69.13 | 46.30 | 39.00 | 82.52 | 44.42 | 65.21 | 1.82 | 2.38 | 1.02 | 1.31 | 1.01 | 1.08 | ||
| Pipe | 94.80 | 79.31 | 77.40 | 90.21 | 84.80 | 76.82 | 1.36 | 1.47 | 1.05 | 1.06 | 1.08 | 1.06 | ||
| Ours | 96.11 | 80.82 | 79.36 | 90.20 | 86.97 | 76.97 | 1.61 | 1.97 | 1.18 | 1.23 | 1.10 | 1.35 | ||
| ResNet-50 | Full | 97.60 | 84.96 | 83.17 | 92.70 | 90.11 | 80.60 | 1.00 | 1.00 | 1.00 | 1.00 | 1.00 | 1.00 | |
| Last | 74.45 | 44.13 | 29.82 | 83.02 | 42.26 | 63.11 | 1.09 | 1.05 | 1.03 | 1.37 | 1.02 | 1.43 | ||
| Pipe | 96.60 | 83.82 | 81.11 | 92.30 | 88.87 | 79.60 | 1.22 | 0.86 | 1.07 | 1.16 | 1.04 | 1.72 | ||
| Ours | 97.34 | 84.53 | 82.09 | 92.49 | 89.36 | 80.31 | 1.29 | 1.38 | 1.17 | 1.42 | 1.15 | 2.21 | ||
| ResNet-101 | Full | 97.82 | 86.25 | 86.14 | 92.80 | 90.82 | 81.01 | 1.00 | 1.00 | 1.00 | 1.00 | 1.00 | 1.00 | |
| Last | 81.21 | 60.71 | 38.00 | 84.61 | 43.78 | 66.65 | 1.58 | 1.97 | 1.07 | 1.22 | 1.10 | 1.15 | ||
| Pipe | 97.40 | 85.91 | 85.53 | 92.32 | 90.81 | 80.25 | 1.34 | 1.01 | 1.01 | 1.00 | 1.01 | 1.03 | ||
| Ours | 97.41 | 85.92 | 85.62 | 92.51 | 90.82 | 80.30 | 1.51 | 1.03 | 1.21 | 1.12 | 1.13 | 1.13 | ||
Table 2
Comparison of accuracy and training speed of our method after removing different decision modules"
| 方法名 | 准确率/% | 速度(倍) | |||||||
| CIFAR10 | CIFAR100 | Aircraft | Flowers | CIFAR10 | CIFAR100 | Aircraft | Flowers | ||
| 本文方法 | 96.11 | 80.82 | 79.36 | 90.20 | 1.61 | 1.97 | 1.18 | 1.23 | |
| 去除组决策模块 | 96.00 | 80.63 | 77.86 | 88.81 | 1.44 | 1.67 | 1.16 | 1.02 | |
| 去除层决策模块 | 95.85 | 80.30 | 75.80 | 87.12 | 1.74 | 1.90 | 1.23 | 1.21 | |
| 基于中心核对齐 | 96.00 | 80.63 | 77.86 | 88.81 | 1.44 | 1.67 | 1.16 | 1.02 | |
| 基于梯度 | 95.47 | 79.83 | 78.46 | 89.92 | 1.75 | 2.40 | 1.32 | 1.30 | |
| 1 | ZHUANG F Z, QI Z Y, DUAN K Y, et al.. A comprehensive survey on transfer learning. Proceedings of the IEEE, 2021, 109 (1): 43- 76. |
| 2 | RAZAVIAN A S, AZIZPOUR H, SULLIVAN J, et al. CNN features off-the-shelf: An astounding baseline for recognition [C]// 2014 IEEE Conference on Computer Vision and Pattern Recognition Workshops. IEEE, 2014: 512-519. |
| 3 | HE Y H, ZHANG X Y, SUN J. Channel pruning for accelerating very deep neural networks [C]// 2017 IEEE International Conference on Computer Vision. IEEE, 2017: 1398-1406. |
| 4 | WU J X, LENG C, WANG Y H, et al. Quantized convolutional neural networks for mobile devices [C]// 2016 IEEE Conference on Computer Vision and Pattern Recognition. IEEE, 2016: 4820-4828. |
| 5 | HINTON G, VINYALS O, DEAN J. Distilling the knowledge in a neural network [EB/OL]. (2015-03-09)[2023-11-09]. https://arxiv.org/abs/1503.02531. |
| 6 | ZHANG X Y, ZHOU X Y, LIN M X, et al. ShuffleNet: An extremely efficient convolutional neural network for mobile devices [C]// 2018 IEEE/CVF Conference on Computer Vision and Pattern Recognition. IEEE, 2018: 6848-6856. |
| 7 | CAI H, ZHU L G, HAN S. ProxylessNAS: Direct neural architecture search on target task and hardware [EB/OL]. (2019-02-23)[2023-11-20]. https://arxiv.org/pdf/1812.00332. |
| 8 | TANAKA H, KUNIN D, YAMINS D L K, et al. Pruning neural networks without any data by iteratively conserving synaptic flow [C]// Proceedings of the 34th International Conference on Neural Information Processing Systems. ACM, 2020: 6377-6389. |
| 9 | VAN AMERSFOORT J, ALIZADEH M, FARQUHAR S, et al. Single shot structured pruning before training [EB/OL]. (2020-07-01)[2023-11-20]. https://arxiv.org/abs/2007.00389. |
| 10 | PAN S J, YANG Q.. A survey on transfer learning. IEEE Transactions on Knowledge and Data Engineering, 2009, 22 (10): 1345- 1359. |
| 11 | LIU Y H, AGARWAL S, VENKATARAMAN S. AutoFreeze: Automatically freezing model blocks to accelerate fine-tuning [EB/OL]. (2021-02-02)[2023-11-20]. https://arxiv.org/abs/2102.01386. |
| 12 | KORNBLITH S, NOROUZI M, LEE H, et al.. Similarity of neural network representations revisited. International Conference on Machine Learning, 2019, 97, 3519- 3529. |
| 13 | DENG J, DONG W, SOCHER R, et al. ImageNet: A large-scale hierarchical image database [C]// 2009 IEEE Conference on Computer Vision and Pattern Recognition. IEEE, 2009: 248-255. |
| 14 | OQUAB M, BOTTOU L, LAPTEV I, et al. Learning and transferring mid-level image representations using convolutional neural networks [C]// 2014 IEEE Conference on Computer Vision and Pattern Recognition. IEEE, 2014: 1717-1724. |
| 15 | GUO Y H, SHI H H, KUMAR A, et al. SpotTune: Transfer learning through adaptive fine-tuning [C]// 2019 IEEE/CVF Conference on Computer Vision and Pattern Recognition. IEEE, 2019: 4800-4809. |
| 16 | HE C Y, LI S, SOLTANOLKOTABI M, et al. PipeTransformer: Automated elastic pipelining for distributed training of transformers [EB/OL]. (2021-02-05)[2023-11-23]. https://arxiv.org/abs/2102.03161. |
| 17 | KRIZHEVSKY K A, HINTON G. Learning multiple layers of features from tiny images [EB/OL]. (2009-04-08) [2023-11-28]. http://www.cs.utoronto.ca/~kriz/learning-features-2009-TR.pdf. |
| 18 | MAJI S, RAHTU E, KANNALA J, et al. Fine-grained visual classification of aircraft [EB/OL]. (2013-06-21)[2023-11-28]. https://arxiv.org/abs/1306.5151. |
| 19 | FAN Y, TIAN F, QIN T, et al. Learning what data to learn [EB/OL]. (2017-02-28)[2023-11-28]. https://arxiv.org/abs/1702.08635. |
| 20 | NILSBACK M E, ZISSERMAN A. Automated flower classification over a large number of classes [C]// 2008 Sixth Indian Conference on Computer Vision, Graphics & Image Processing. IEEE, 2008: 722-729. |
| 21 | KRAUSE J, STARK M, JIA D, et al. 3D object representations for fine-grained categorization [C]// 2013 IEEE International Conference on Computer Vision Workshops. IEEE, 2013: 554-561. |
| 22 | WAH C, BRANSON S, WELINDER P, et al. The caltech-ucsd birds-200-2011 dataset [EB/OL]. (2011-07-01) [2023-09-22]. https://www.vision.caltech.edu/datasets/cub_200_2011. |
| [1] | Lishen CHEN, Peng PU, Jianghai QIAN. Electricity theft detection based on transfer learning and attention hybrid neural network [J]. J* E* C* N* U* N* S*, 2025, 2025(6): 19-28. |
| [2] | Sijia ZHAO, Fanyu HAN, Wei WANG. Research on the GitHub developer geographic location prediction method based on multi-dimensional feature fusion [J]. J* E* C* N* U* N* S*, 2025, 2025(5): 1-13. |
| [3] | Luping CAO, Yong XIA. Detection of high-resolution high-bandwidth fractional vortex beams under atmospheric turbulence [J]. J* E* C* N* U* N* S*, 2025, 2025(3): 51-60. |
| [4] | Caidie HUANG, Xinping WANG, Liangyu CHEN, Yong LIU. Research on a knowledge tracking model based on the stacked gated recurrent unit residual network [J]. Journal of East China Normal University(Natural Science), 2022, 2022(6): 68-78. |
| [5] | Yilin MA, Huiling TAO, Qiwen DONG, Ye WANG. Prediction of remaining useful life of aeroengines based on the Transformer with multi-feature fusion [J]. Journal of East China Normal University(Natural Science), 2022, 2022(5): 219-232. |
| [6] | Jizhou LI, Xin LIN. Neural architecture search algorithms based on a recursive structure [J]. Journal of East China Normal University(Natural Science), 2022, 2022(4): 31-42. |
| [7] | Zejie WANG, Chaomin SHEN, Chun ZHAO, Xinmei LIU, Jie CHEN. Recognition of classroom learning behaviors based on the fusion of human pose estimation and object detection [J]. Journal of East China Normal University(Natural Science), 2022, 2022(2): 55-66. |
| [8] | Bo LIU, Xiaodong BAI, Gengxin ZHANG, Jun SHEN, Jidong XIE, Laiding ZHAO, Tao HONG. Review of deep learning in cognitive radio [J]. Journal of East China Normal University(Natural Science), 2021, 2021(1): 36-52. |
| [9] | ZHANG Xu, HUANG Dingjiang. Defect detection on aluminum surfaces based on deep learning [J]. Journal of East China Normal University(Natural Science), 2020, 2020(6): 105-114. |
| [10] | HAN Chengcheng, LI Lei, LIU Tingting, GAO Ming. Approaches for semantic textual similarity [J]. Journal of East China Normal University(Natural Science), 2020, 2020(5): 95-112. |
| [11] | SHAO Ming-rui, MA Deng-hao, CHEN Yue-guo, QIN Xiong-pai, DU Xiao-yong. Transfer learning based QA model of FAQ using CQA data [J]. Journal of East China Normal University(Natural Sc, 2019, 2019(5): 74-84. |
| [12] | YANG Kang, HANG Ding-jiang, GAO Ming. A review of machine reading comprehension for automatic QA [J]. Journal of East China Normal University(Natural Sc, 2019, 2019(5): 36-52. |
| [13] | CHEN Yuan-zhe, KUANG Jun, LIU Ting-ting, GAO Ming, ZHOU Ao-ying. A survey on coreference resolution [J]. Journal of East China Normal University(Natural Sc, 2019, 2019(5): 16-35. |
| [14] | LIU Heng-yu, ZHANG Tian-cheng, WU Pei-wen, YU Ge. A review of knowledge tracking [J]. Journal of East China Normal University(Natural Sc, 2019, 2019(5): 1-15. |
| [15] | YE Jian, ZHAO Hui. A public opinion analysis model based on Danmu data monitoring and sentiment classification [J]. Journal of East China Normal University(Natural Sc, 2019, 2019(3): 86-100. |
| Viewed | ||||||
|
Full text |
|
|||||
|
Abstract |
|
|||||