J* E* C* N* U* N* S* ›› 2025, Vol. 2025 ›› Issue (6): 63-70.doi: 10.3969/j.issn.1000-5641.2025.06.008

Previous Articles     Next Articles

Coupled models of soil amendments and vegetation restoration for waste dump reclamation of open-pit coal mines

Min QUAN1(), Xiangqian ZHU2, Liangjun DA3,*()   

  1. 1. CHN Energy Zhunneng Group Co. Ltd., Ordos, Inner Mongolia 010300, China
    2. School of Ecological and Environmental Sciences, East China Normal University, Shanghai 200241, China
    3. Institute of Science and Engineering of Ecology in Arid and Semi-arid Areas, Institute for Interdisciplinary Innovation Research, Xi’an University of Architecture and Technology, Xi’an 710055, China
  • Received:2024-04-03 Accepted:2025-08-19 Online:2025-11-25 Published:2025-11-29
  • Contact: Liangjun DA E-mail:min.quan@chnenergy.com.cn;ljda@xauat.edu.cn

Abstract:

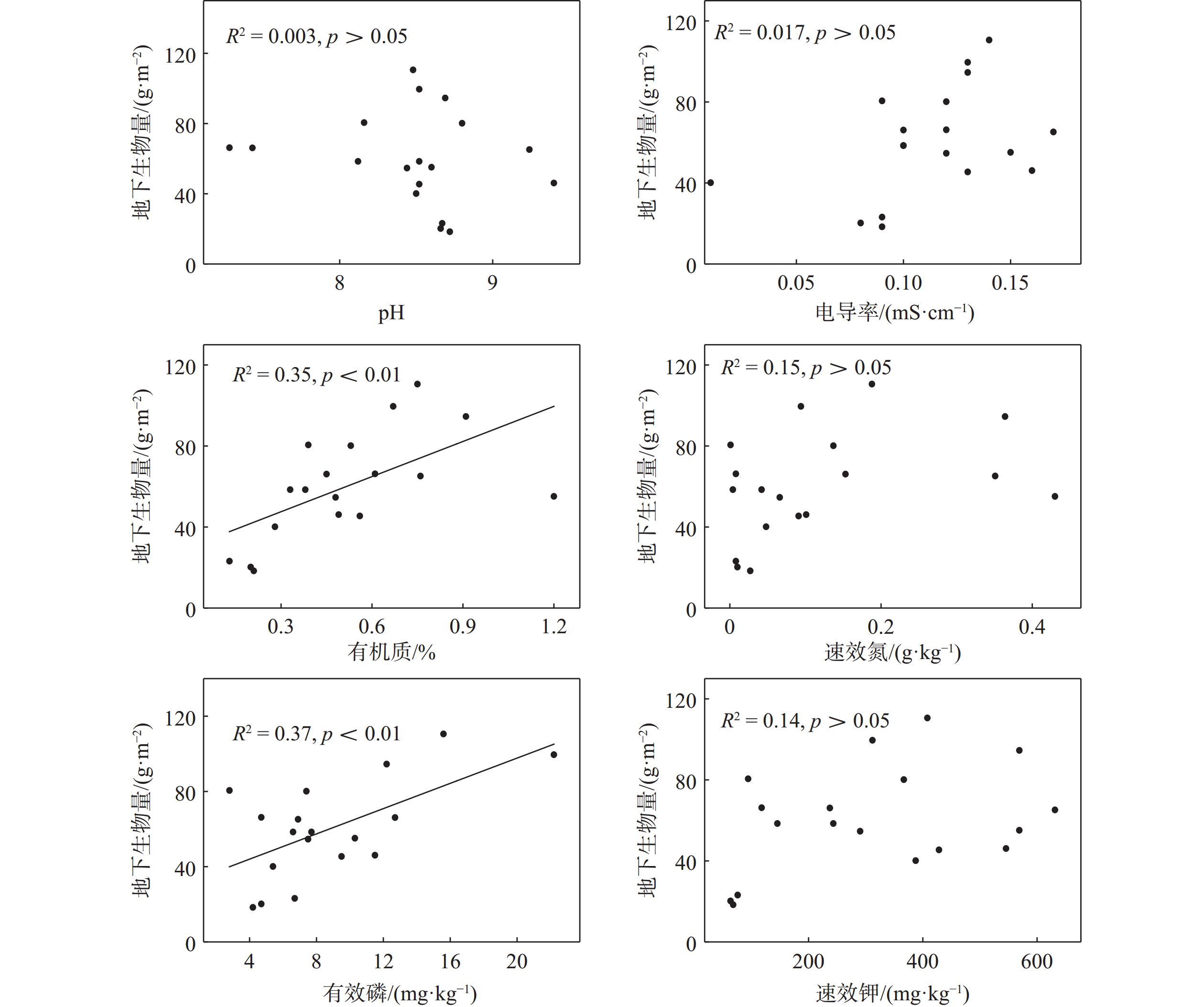
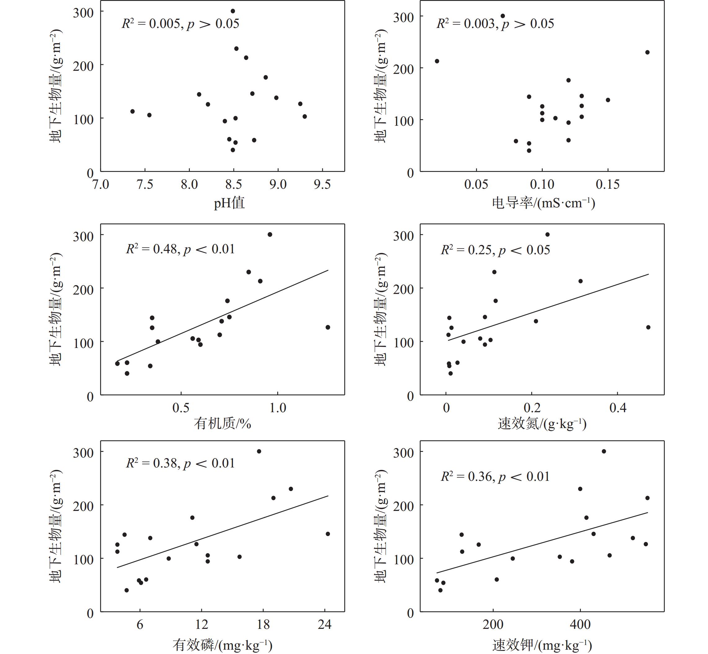
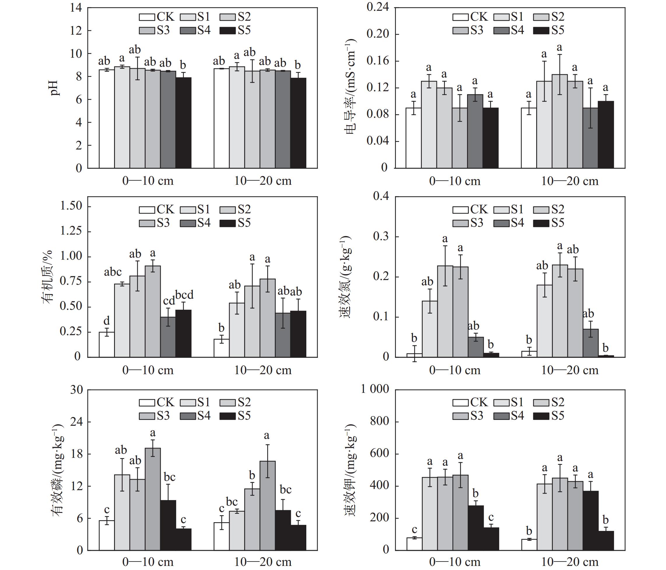
Soil fertility is low and vegetation recovery is sluggish at the waste dumps in open-pit coal mines in Northwest China. Although soil amendment strategies for waste dumps are well-developed, vegetation restoration methods after soil amendment have been little explored. To address this, we conducted field experiments at a waste dump in the Heidaigou open-pit coal mine in Inner Mongolia. The experiments included three artificial vegetation reclamation approaches (establishing pastures, crops, or forests) and one natural vegetation recovery, all applied after soil amendment. We assessed the effects of combining soil amendment strategies with various vegetation restoration methods on the physicochemical attributes and belowground biomass at waste dumps. The results demonstrated that integrating soil amendments incorporating water-retaining substances and organic fertilizer into the upper 30 cm of the soil with artificial vegetation reclamation (establishing pastures, crops, or forests) substantially improved the soil nutrient profiles and belowground biomass within one year. This strategy was more effective than relying solely on natural vegetation recovery after soil amendment. However, none of the combinations of soil amendment and artificial vegetation reclamation quickly improved the soil pH level or electrical conductivity. Additionally, we observed positive correlations among soil organic matter, available phosphorus, and belowground biomass. The optimal strategy for rapidly augmenting soil fertility at waste dump sites is pairing soil amendments with forest reclamation. These insights provide valuable scientific guidance for the restoration of the waste dumps of open-pit coal mines throughout Northwest China.

Key words: Heidaigou, open-pit coal mines, vegetation reclamation, soil remediation, root biomass

CLC Number: