华东师范大学学报(自然科学版) ›› 2025, Vol. 2025 ›› Issue (3): 147-156.doi: 10.3969/j.issn.1000-5641.2025.03.017

• 物理学与电子学 • 上一篇    

基于连边记忆性活跃驱动网络的易感-感染-恢复传播动力学

李政宛, 唐明*()   

  1. 华东师范大学 物理与电子科学学院,上海 200241
  • 收稿日期:2024-03-05 出版日期:2025-05-25 发布日期:2025-05-28
  • 通讯作者: 唐明 E-mail:mtang@ce.ecnu.edu.cn
  • 基金资助:
    国家自然科学基金(12231012, 11975099); 国家自然科学基金-国际合作项目(82161148012)

Susceptible-infected-recovery spreading dynamics in activity-driven networks with link memory

Zhengwan LI, Ming TANG*()   

  1. School of Physics and Electronic Science, East China Normal University, Shanghai 200241, China
  • Received:2024-03-05 Online:2025-05-25 Published:2025-05-28
  • Contact: Ming TANG E-mail:mtang@ce.ecnu.edu.cn

摘要:

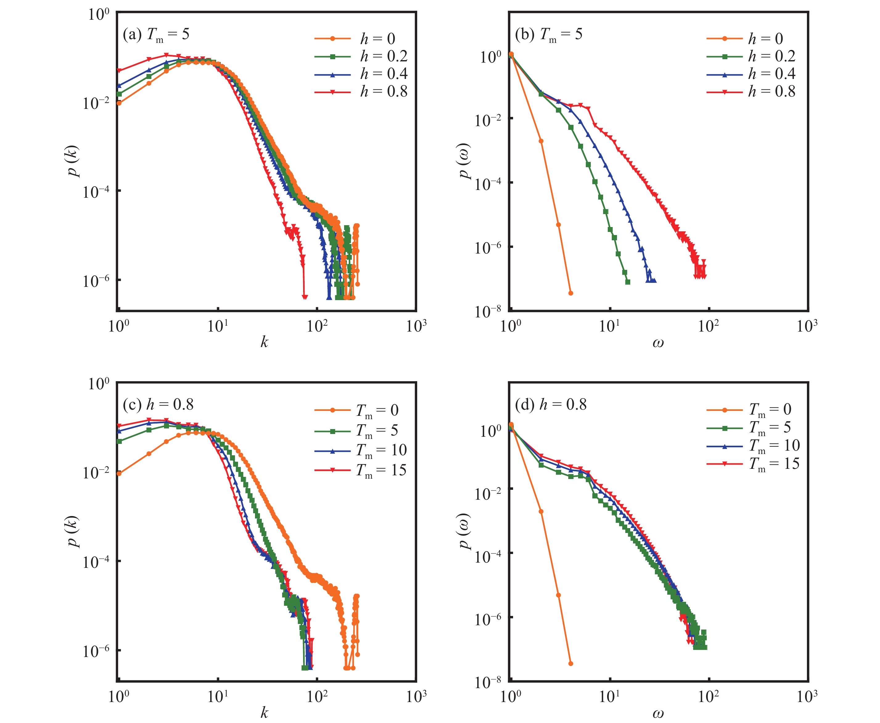
建立了一个具有连边记忆性的活跃驱动网络, 其中节点在产生连边时会以一定的概率(记忆连接偏好)连向之前多个时间步内(记忆窗口)的邻居节点. 进一步研究了模型的易感-感染-恢复(susceptible-infected-recovery, SIR)传播动力学过程, 然后基于淬火平均场方法推导出了流行病的暴发阈值. 仿真发现, 记忆性会降低网络的最大度而增加最大边权重, 这常见于真实的移动电话网络数据集中. 另外, 对于传播动力学, 流行阈值(最终暴发规模)会随着连接偏好和记忆窗口的增加而增大(减小).

关键词: 活跃驱动网络, 连边记忆性, 流行病传播, 暴发阈值

Abstract:

In the active driven network established in this study with link memory, nodes connect to their neighbors from previous time steps(a memory window) with a certain probability(memory connection preference). Delving into the susceptible-infected-recovery(SIR) epidemic dynamics of the model, the epidemic outbreak threshold is derived using the quenched mean-field method, demonstrating that memory reduces the network’s maximum degree but increases the maximum edge weight, a pattern commonly observed in real-world mobile phone network datasets. Furthermore, in epidemic dynamics, with the rise in connection preference and memory window, the outbreak threshold increases, whereas final outbreak size decreases.

Key words: time-varying networks, link memory, epidemic spreading, outbreak threshold

中图分类号: