华东师范大学学报(自然科学版) ›› 2026, Vol. 2026 ›› Issue (1): 54-65.doi: 10.3969/j.issn.1000-5641.2026.01.005

• 流域生态修复技术创新 • 上一篇    下一篇

水力扰动和水位变化对苦草 (Vallisneria natans) 生长及水体水质影响的实验研究

郁梦媛1,2, 邱长能1,2, 黄民生1,2,*(), 张彤1,2, 周耀1,2, 余意1,2, 易阳阳1,2   

  1. 1. 华东师范大学 生态与环境科学学院, 上海 200241
    2. 水污染防治与利用山西省重点实验室, 太原 030009
  • 收稿日期:2025-06-11 接受日期:2025-10-10 出版日期:2026-01-25 发布日期:2026-01-29
  • 通讯作者: 黄民生 E-mail:mshuang@des.ecnu.edu.cn
  • 基金资助:
    水污染防治与利用山西省重点实验室建设期科研计划项目 (SWRFZYLY202502, SWRFZYLY202503)

Effects of hydraulic disturbance and water level changes on the growth of Vallisneria natans and water quality

Mengyuan YU1,2, Changneng QIU1,2, Minsheng HUANG1,2,*(), Tong ZHANG1,2, Yao ZHOU1,2, Yi YU1,2, Yangyang YI1,2   

  1. 1. School of Ecological and Environmental Sciences, East China Normal University, Shanghai 200241, China
    2. Shanxi Key Laboratory of Water Pollution Prevention and Utilization, Taiyuan 030009, China
  • Received:2025-06-11 Accepted:2025-10-10 Online:2026-01-25 Published:2026-01-29
  • Contact: Minsheng HUANG E-mail:mshuang@des.ecnu.edu.cn

摘要:

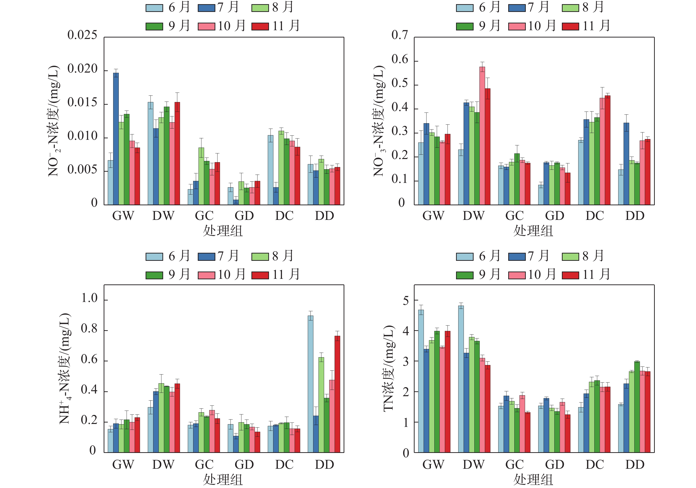
苦草 (Vallisneria natans) 是生态修复中常用的沉水植物, 然而水力扰动与水位变化对其生长及其水体水质的影响尚不明确. 通过设置不同水位 (45 cm和80 cm) 及扰动时长 (4 h和8 h) 的控制实验, 探究单一及复合水动力胁迫对苦草生理生化特性及水质的影响. 结果表明, 高水位短时扰动 (80 cm水位, 4 h扰动) 能显著提升水体溶解氧含量至9.1 mg/L (较无扰动组提高11.0%), 有效降低总氮 (1.85 mg/L) 、氨氮 (0.20 mg/L) 和硝态氮 (0.19 mg/L) 浓度, 并维持苦草最低的氧化胁迫水平 (过氧化物酶活性为5.73 U/(g·min), 超氧化物歧化酶活性为17.6 U/g) 及最高叶绿素含量 (8.98 mg/g), 证实适度扰动可通过增强水体混合进而优化光能利用效率并促进植物生长. 双因素方差分析表明, 水位与扰动的交互作用显著影响五日生化需氧量、总氮等指标 (p<0.05). 本研究提出了“高水位 (≥80 cm) 结合短时扰动 (≤4 h)”的优化调控策略, 为城市景观水体生态修复中沉水植物恢复并与水环境协同改善提供了理论依据, 对浅水湖泊生态系统稳态维持具有重要的实践意义.

关键词: 水力扰动, 水位变化, 苦草, 生理生化指标, 水生态系统

Abstract:

Vallisneria natans is a submerged plant that is commonly used in ecological restoration programs. However, the effects of hydraulic disturbance and changes in water levels on the growth of this plant and the quality of water bodies have yet to be sufficiently established. In this study, we examined the effects of single and combined hydrodynamic stresses on the physiological and biochemical characteristics of bitter grass and water quality based on controlled experiments assessing different water levels (45 and 80 cm) and disturbance durations (4 and 8 h). The results indicated that high water levels with short-term disturbance (80 cm, 4 h) were associated with significant increases in the contents of dissolved oxygen to 9.1 mg/L (11.0% higher than that under non-disturbed conditions), and effectively reduced the concentrations of total nitrogen (1.85 mg/L), ammonia-nitrogen (0.20 mg/L), and nitrate-nitrogen (0.19 mg/L), while maintaining the lowest oxidative stress levels (peroxidase activity: 5.73 U/(g·min), superoxide dismutase activity: 17.6 U/g) and highest chlorophyll content (8.98 mg/g). These findings indicated that moderate levels of disturbance can optimize light utilization efficiency via an enhancement of water mixing and promote plant growth. In addition, two-way ANOVA revealed the significant interactive effects of water levels and disturbance on biological oxygen demand and total nitrogen concentration (p<0.05). On the basis of these findings, we propose an optimal regulation strategy of “high water levels (≥80 cm) combined with short-term disturbance (≤4 h)”, providing a theoretical basis for the synergistic restoration of submerged vegetation and improvements in aquatic environments within urban landscapes. These findings have practical significance for maintaining ecosystem stability in shallow lakes.

Key words: hydraulic disturbance, change in water level, Vallisneria natans, physiological and biochemical indices, aquatic ecosystem

中图分类号: