华东师范大学学报(自然科学版) ›› 2026, Vol. 2026 ›› Issue (1): 120-131.doi: 10.3969/j.issn.1000-5641.2026.01.011

• 流域污染控制与碳中和路径探索 • 上一篇    

平原河网地区农业面源污染生态治理模式构建及案例分析

赵蕊1, 陈小华1,2,*(), 刘熠阳2   

  1. 1. 东华大学 环境科学与工程学院, 上海 201620
    2. 上海市环境科学研究院, 上海 200233
  • 收稿日期:2025-10-17 出版日期:2026-01-25 发布日期:2026-01-29
  • 通讯作者: 陈小华 E-mail:shoutfar@aliyun.com
  • 基金资助:
    上海市农业科技创新项目(沪农科 (I2023004)); 上海市生态环境局科研项目(沪环科[2024]第3号)

Construction and case analysis of ecological control approach for agricultural non-point source pollution in plain river network areas

Rui ZHAO1, Xiaohua CHEN1,2,*(), Yiyang LIU2   

  1. 1. College of Environmental Science and Engineering, Donghua University, Shanghai 201620, China
    2. Shanghai Academy of Environmental Sciences, Shanghai 200233, China
  • Received:2025-10-17 Online:2026-01-25 Published:2026-01-29
  • Contact: Xiaohua CHEN E-mail:shoutfar@aliyun.com

摘要:

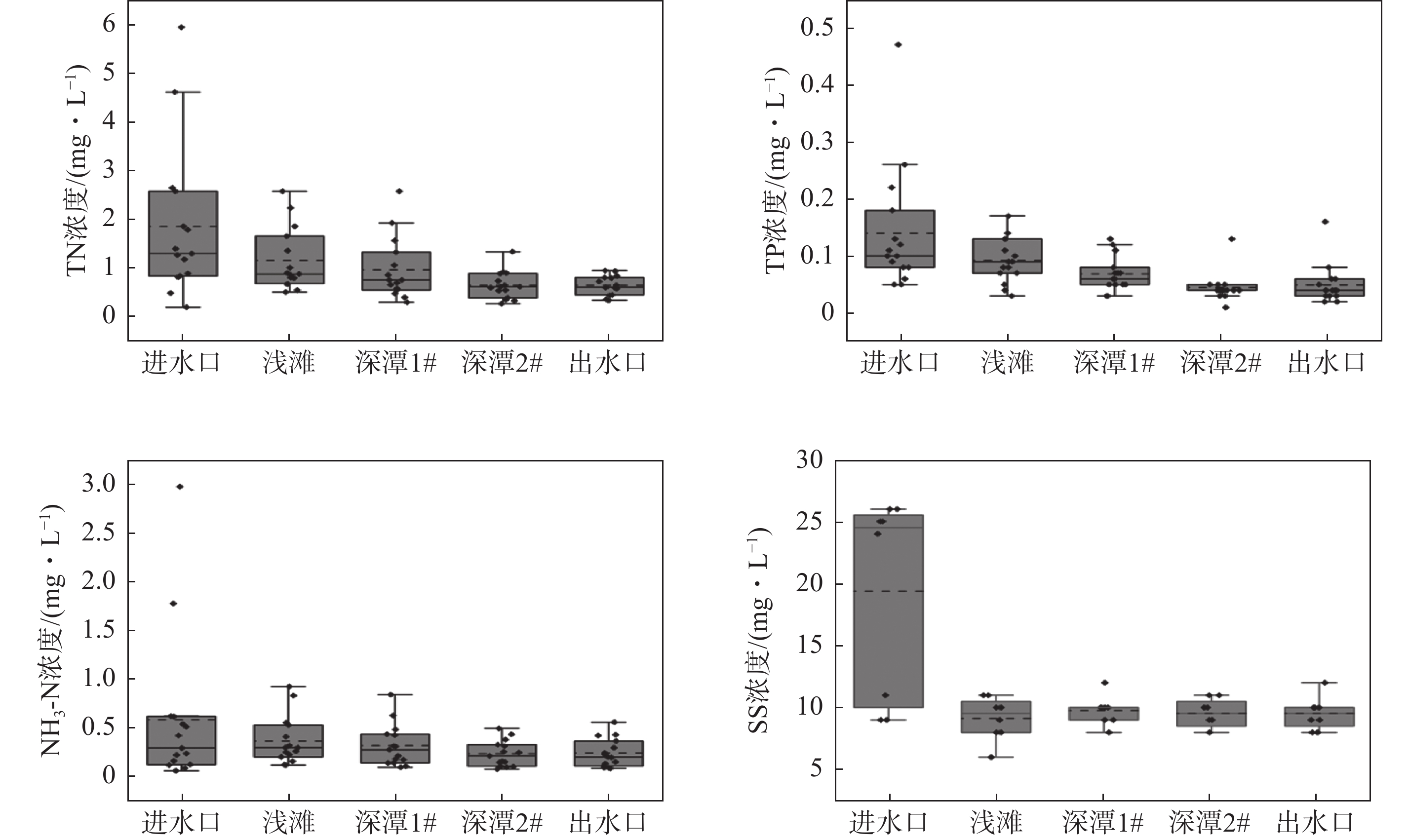
平原河网地区农业面源污染来源广泛、构成复杂. 尽管各地已针对该类污染开展多项治理实践, 但如何依据区域特点精准选择适配的治理模式, 仍是当前亟待解决的问题. 以长三角地区为研究区域, 通过实地调研系统梳理该区域农业面源污染治理经验, 提炼形成农田内部生态改造、塘田一体化、农 (林) 湿复合3种核心治理模式. 为深入验证治理成效, 研究进一步聚焦塘田一体化及农 (林) 湿复合模式, 选取上海市青浦区、嘉定区、松江区的农业面源生态治理作为典型案例, 通过监测农田退水集中治理前后的水质变化, 定量分析主要污染物指标的削减率. 为长三角地区农业面源污染的系统化、精准化治理提供数据支撑与实践参考, 也为同类平原河网地区的污染治理模式选择提供借鉴.

关键词: 面源污染, 平原河网地区, 生态治理模式, 氮磷

Abstract:

Agricultural non-point source pollution in plain river network areas originates from diverse sources and exhibits complex compositions. Although various governance practices have been implemented across regions, accurately selecting ecological control approaches suited to local characteristics remains a pressing challenge. Focusing on the Yangtze River Delta, this research systematically reviews regional experiences in agricultural non-point source pollution control through field investigations; and identifies three core approaches: in-field ecological transformation, pond-field integration, and agro-(forestry-)wetland complexes. To further verify their effectiveness, the study concentrates on pond-field integration and agro-(forestry-)wetland complexes by selecting Qingpu, Jiading, and Songjiang Districts of Shanghai as representative cases. By monitoring water quality before and after centralized treatment of farmland drainage, the reduction rates of major pollutant indicators were quantitatively assessed. The findings provide empirical data and practical reference for the systematic and precise control of agricultural non-point source pollution in the Yangtze River Delta, and offer valuable insights for selecting appropriate approaches in similar plain river network areas.

Key words: non-point source pollution, plain river network area, ecological control approach, nitrogen and phosphorus

中图分类号: