J* E* C* N* U* N* S* ›› 2026, Vol. 2026 ›› Issue (2): 59-70.doi: 10.3969/j.issn.1000-5641.2026.02.006

• RF Front-Ends and Millimeter-Wave Integrated Circuits • Previous Articles     Next Articles

A 20~25 GHz transformer-based improved multi-path noise-canceling low noise amplifier

Ziyao WANG, Yuri LU, Runxi ZHANG*()   

  1. Institute of Microelectronic Circuits and Systems, East China Normal University, Shanghai 200241, China
  • Received:2025-12-24 Online:2026-03-25 Published:2026-04-03
  • Contact: Runxi ZHANG E-mail:rxzhang@ee.ecnu.edu.cn

Abstract:

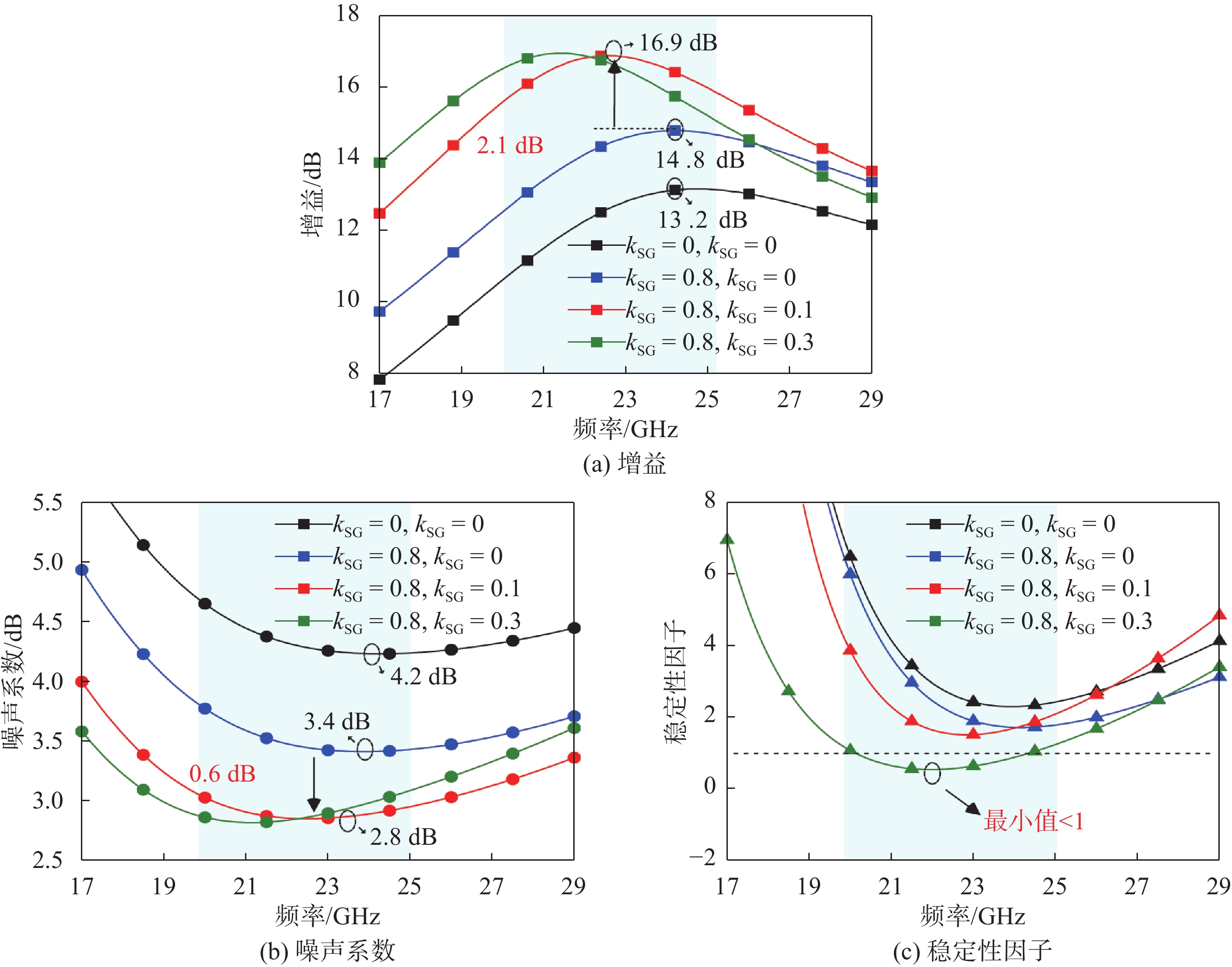
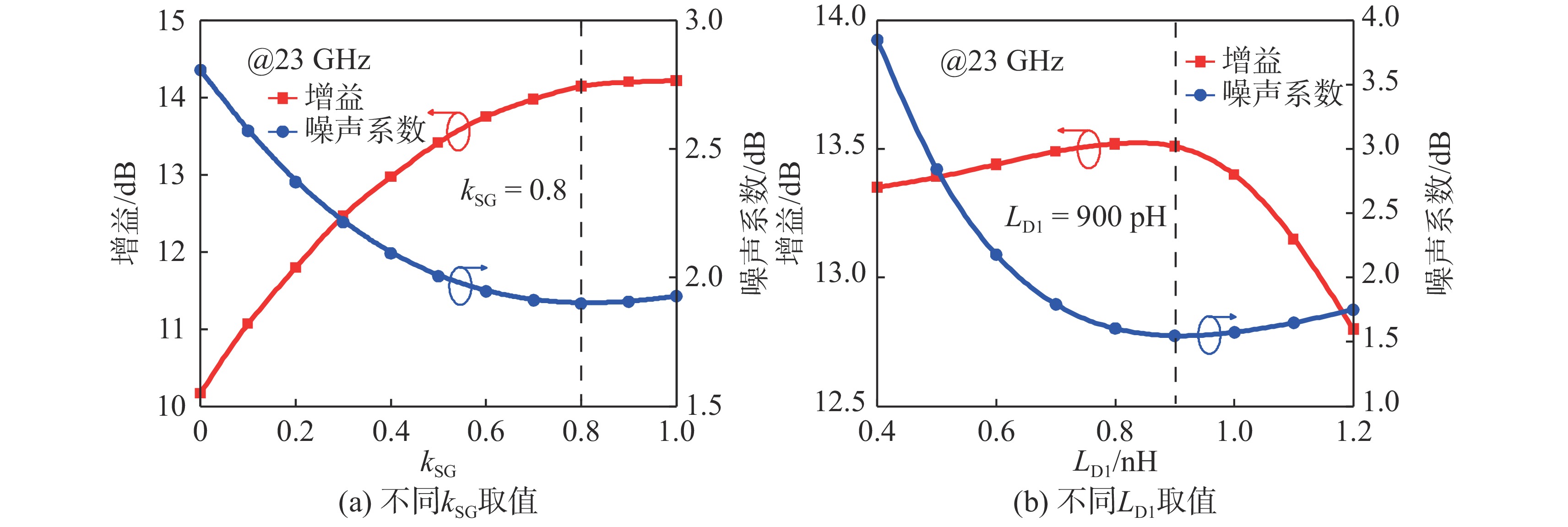
This paper presents a 20~25 GHz low noise amplifier that employs a transformer-based improved multi-path noise-canceling (IMNC) architecture. The proposed IMNC approach addresses key limitations of the conventional dual-path noise-canceling (DPNC) technique that employs common-source (CS) and common-gate (CG) stages to suppress each other's noise. In DPNC designs, noise from the CG stage cannot be fully canceled, and increasing CG transconductance to enhance CS-stage noise suppression results in a tradeoff between noise performance and power consumption. To overcome these limitations, the proposed IMNC architecture introduces a three-coil transformer that passively boosts the gain of the CG stage, thereby improving CS-stage noise cancellation without additional power consumption. The transformer also provides an additional noise-canceling path that enables partial self-cancellation of CG stage noise. These improvements lead to better noise performance and power efficiency compared to the conventional DPNC approach. Fabricated in a 40 nm complementary metal oxide semiconductor (CMOS) process, the proposed low noise amplifier achieves a peak gain of 14.5 dB, a 3 dB bandwidth of 5.1 GHz spanning 20 to 25 GHz, and a minimum noise figure (NF) of 2.0 dB, while consuming 22.4 mW of power and occupying a core area of 0.16 mm2.

Key words: complementary metal oxide semiconductor (CMOS), low noise amplifier, noise cancellation, transconductance boosting

CLC Number: